Olopatadine Hydrochloride Eye Drops
请仔细阅读说明书并在医生的指导下使用
核准日期:2019年4月3日|修改日期:2020年10月19日
成份
本品主要成份为盐酸奥洛他定。
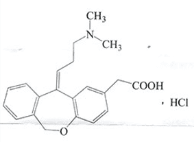
化学名称:11-1(Z)-3-(二甲氨基)丙烯基]-6,11-二氢二苯并[b.e]氧杂䓬-2-乙酸盐酸盐。
化学结构式:

分子式:C21H23NO3 · HCl
分子量:373.87
抑菌剂:0.01% 苯扎氯铵
非活性成份:磷酸氢二钠,氯化钠,稀盐酸或氢氧化钠(调节 pH 值)。注射用水。
规格
0.1%(5 mL:5 mg,以 C21H23NO3计)
适应症
用于治疗过敏性结膜炎的体征和症状。
用法用量
推荐剂量为患眼每次 1-2 滴,每日 2 次,间隔 6-8 小时以上。
禁忌
对本品中任何成份过敏者禁用。
注意事项
1. 只限眼局部滴用,不能注射。配戴角膜接触镜的患者,使用本品时,请勿配戴角膜接触镜。
2. 购买时,如果发现封口损坏或破裂,请勿使用。
3. 为避免污染瓶口药液,使用时不要使瓶口接触眼睑或眼周皮肤。
4. 不用时请将瓶口拧紧。
5. 请将本品放于儿童接触不到的地方。
6. 本品开盖四周后应不再使用。
药理作用
奥洛他定是肥大细胞稳定剂及相对选择性组胺 H1-受体拮抗剂。活体和体外实验中均能抑制 I 型速发型过敏反应。奥洛他定对α-肾上腺素能受体、多巴胺受体、毒蕈碱 I 型和 II 型受体及 5-羟色胺受体没有作用。
药代动力学
在人类局部滴眼后,只有极少量奥洛他定进入全身循环。在两次有关健康志愿者(共 24 人)的研究中,双眼滴用 0.15% 的奥洛他定滴眼液,每 12 小时一次,共用二周,血浆浓度普遍低于可检测值(<0.5 ng/mL)。仅在用药后 2 小时内有些血浆样本中可检测到奥洛他定,浓度为 0.5 至 1.3 ng/mL。血浆半衰期约为 3 小时,主要由肾脏排出约 60-70% 的原药。在尿中发现两种代谢产物单-去甲和 N-氧化物,浓度很低。
毒理研究
致癌作用、致突变和对生育功能的损害:以 500 mg/kg/日和 200 mg/kg/日的剂量分别给小鼠和大鼠口服奥洛他定,未引起癌变。按每滴 40μL 算,这些剂量比最大的人眼推荐用量大 78125 和 31250 倍。在体外进行的细菌逆转突变试验,体外哺乳动物染色体畸变测试或体内小鼠微核试验等未观察到诱发突变的可能性。给雄和雌的大鼠口服最大人眼推荐用量的 62500 倍剂量的奥洛他定后,生育指数稍有下降且受孕率下降;口服最大人眼推荐用量的 7800 倍时未发现影响生育功能。
上市许可持有人
生产企业
浙江尖峰药业有限公司