Piracetam Injection
请仔细阅读说明书并在医生的指导下使用
成份
本品主要成份为吡拉西坦。辅料:氯化钠。
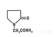
化学名称:2-氧化-1-吡咯烷基乙酰胺。
其结构式为:

规格
5 ml:1 g。
适应症
适用于急、慢性脑血管病、脑外伤、各种中毒性脑病等多种原因所致的记忆减退及轻、中度脑功能障碍。也用于儿童智能发育迟缓。
用法用量
肌肉注射:每次 1 g,一日 2~3 次。
静脉注射:每次 4~6 g,一日 2 次。
静脉滴注:每次 4~8 g,一日 1 次,用 5% 或 10% 葡萄糖注射液或氯化钠注射液稀释至 250 ml 后使用。
禁忌
-
锥体外系疾病、Huntington、舞蹈症者禁用。
-
孕妇禁用。
-
新生儿禁用。
注意事项
肝肾功能障碍者慎用并应适当减少剂量。
药理作用
本品为脑代谢改善药,属于γ-氨基丁酸的环形衍生物。有抗物理因素、化学因素所致的脑功能损伤的作用。能促进脑内 ATP,可促进乙酰胆碱合成并能增强神经兴奋的传导,具有促进脑内代谢作用。可以对抗由物理因素、化学因素所致的脑功能损伤。对缺氧所致的逆行性健忘有改进作用。可以增强记忆,提高学习能力。
药代动力学
本品进入血液后,透过血脑屏障到达脑和脑脊液,大脑皮层和嗅球的浓度较脑干中浓度更高。易通过胎盘屏障。半衰期(t1/2)为 5~6 小时,体分布容量为 0.6L/kg,肾脏消除速度为 86 ml/分钟。
毒理研究
动物实验的急性毒理试验表明,小鼠胃剂量大于 1Og/kg,未见死亡。静脉给药的半数致死量 LD50 为 9.2 g/kg。亚急性和慢性毒理实验均未发现对大鼠、狗的生长发育有任何不良影响。对血液、心、肝、肾、脑等重要内脏器官和功能均无影响。
生产企业
山西振东泰盛制药有限公司
© 版权声明
特别提醒: 内容为用户自行发布,如有侵权,请联系我们管理员删除,邮箱:mail@xieniao.com ,在收到您的邮件后我们会在3个工作日内处理。
相关文章
暂无评论...
赣公网安备36020002000448号