Citicoline Sodium Injection
请仔细阅读说明书并在医生的指导下使用
核准日期:2007年7月20日|修改日期:2020年12月1日
成份
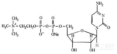
本品主要成份为胞磷胆碱钠,其化学名称为:胆碱胞嘧啶核苷二磷酸酯的单钠盐。
结构式:

分子式:C14H25N4NaO11P2
分子量:510.31
本品辅料为:注射用水。
规格
2 mL:0.25 g
适应症
用于急性颅脑外伤及脑手术后的意识障碍。
用法用量
静脉滴注:每次 0.25-0.5 g,每日 1 次,用 5% 或 10% 的葡萄糖注射液稀释后缓慢滴注。5-10 日为一疗程。静脉注射:每次 0.1-0.2 g。肌肉注射:每日 0.1-0.3 g,分 1-2 次注射。
禁忌
对本品过敏者禁用。
注意事项
1. 有药物过敏史的患者慎用;2. 对伴有脑出血、脑水肿和颅压增高的严重急性颅脑损伤患者慎用;3. 癫痫及低血压患者慎用;4. 静脉注射时应尽量放慢给药速度;5. 肌注一般不采用,若用时应经常更换注射部位。
药理作用
胞磷胆碱为核苷衍生物,可增强脑干网状结构,尤其是与意识密切相关的上行网状结构激动系统的机能;增强椎体系统的机能,改善运动麻痹;改善大脑循环,通过减少大脑血流阻力,增加大脑血流而促进大脑物质代谢,对促进大脑功能恢复和促进苏醒等具有一定作用。
药代动力学
本品注射后血药浓度迅速下降,30 分钟降至注入时的 1/3,1-2 小时基本稳定,分布以肝内最多,占 10%。在肝脏代谢为游离胆碱和胞苷二磷酸,主要经肾脏和肺清除,原药半衰期为 3.5 小时,主要代谢物胆碱的清除半衰期为 2 小时。本品较难通过血脑屏障,进入脑内的药物很少,仅占 0.1%,但药物在脑内停留时间很长,注射后 3 小时内药物浓度达峰值,并在 24 小时内保持不变;而且损伤脑比正常脑、受损半球比未受损半球的胞磷胆碱含量明显升高。
生产企业
山东华鲁制药有限公司