Citicoline Sodium Injection
请仔细阅读说明书并在医生的指导下使用
成份
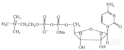
本品主要成份为:胞磷胆碱钠,其化学名称为:胆碱胞嘧啶核苷二磷酸酯的单钠盐。辅料为:注射用水。
其化学结构式为:

分子式:C14H25N4NaO11P2
分子量:510.31
规格
2 ml:0.1 g;
2 ml:0.25 g;
4 ml:0.5 g;
适应症
用于急性颅脑外伤及脑手术后的意识障碍。
用法用量
静脉滴注:每次 0.25~0.5 g,每日 1 次,用 5% 或 10% 的葡萄糖注射液稀释后缓慢滴注。5~10 日为一疗程。
静脉注射:每次 0.1~0.2 g。
肌肉注射:每日 0.1~0.3 g,分 1~2 次注射。
禁忌
对本品过敏者禁用。
注意事项
-
有药物过敏史的患者慎用;
-
对伴有脑出血、脑水肿和颅压增高的严重急性颅脑损伤患者慎用;
-
癫痫及低血压患者慎用;
-
静脉注射时应尽量放慢给药速度;
-
肌注一般不采用,若用时应经常更换注射部位。
药理作用
胞磷胆碱为核苷衍生物,可增强脑干网状结构、尤其是与意识密切相关的上行网状结构激动系统的机能;增强椎体系统的机能,改善运动麻痹;改善大脑循环,通过减少大脑血流阻力,增加大脑血流而促进大脑物质代谢,对促进大脑功能恢复和促进苏醒等具有一定作用。
药代动力学
本品注射后血药浓度迅速下降,30 分钟降至注入时的 1/3,1~2 小时基本稳定,分布以肝内最多,占 10%。在肝脏代谢为游离胆碱和胞苷二磷酸,主要经肾脏和肺清除,原药半衰期为 3.5 小时,主要代谢物胆碱的清除半衰期为 2 小时。本品较难通过血脑屏障,进入脑内的药物很少,仅占 0.1%,但药物在脑内停留时间很长,注射后 3 小时内药物浓度达峰值,并在 24 小时内保持不变;而且损伤脑比正常脑、受损半球比未受损半球的胞磷胆碱含量明显升高。
生产企业
天方药业有限公司
© 版权声明
特别提醒: 内容为用户自行发布,如有侵权,请联系我们管理员删除,邮箱:mail@xieniao.com ,在收到您的邮件后我们会在3个工作日内处理。
相关文章
暂无评论...
赣公网安备36020002000448号