Citicoline Sodium Injection
请仔细阅读说明书并在医生的指导下使用
成份
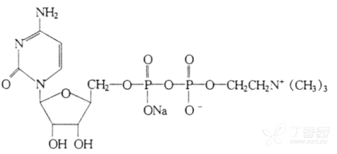
本品主要成分是胞磷胆碱钠,其化学名为胆碱胞嘧啶核苷二磷酸酯的单钠盐。
结构式:

分子式:C14H25N4NaO11P2
分子量:510.31
规格
2 ml:0.2g
适应症
主要用于急性颅脑外伤及脑手术后的意识障碍。
用法用量
静脉滴注:一日 0.25-0.5 g;用 5% 获 10% 的葡萄糖注射液稀释后缓慢滴注,5~10 日为一疗程。
单纯静脉注射:每次 0.1-0.2 g。
肌肉注射:一日 0.1-0.3 g,分 1-2 次注射。
禁忌
对本品过敏者禁用。
注意事项
1.对伴有脑出血、脑水肿和颅压增高的严重急性颅脑损伤患者慎用;
2.癫痫及低血压患者应慎用;
3.肌注一般不采用,若用时应经常更换注射部位。
药理作用
本品为核苷衍生物,胞磷胆碱可增强脑干网状结构、尤其是与意识密切相关的上行网状结构激动系统的机能;增加椎体系统的机能,改善运动麻痹;改善大脑循环,通过减少大脑血流阻力,增加大脑血流而促进大脑物质代谢,对促进大脑功能恢复和促进苏醒等具有一定作用。
药代动力学
本品注射后血药浓度迅速下降,30 分钟降至注入时的 1/3,1-2 小时基本稳定,分布以肝内最多,占 10%,大部分于 2 小时内排入尿中,本品较难通过血脑屏障,进入脑内的药物很少,仅占 0.1%,但药物在脑内停留时间很长,注射后 3 小时内药物浓度达峰值,并在 24 小时内保持不变;而且损伤脑比正常脑、受损半球比未受损半球的胞磷胆碱含量明显升高。
上市许可持有人
生产企业
成都天台山制药有限公司
© 版权声明
特别提醒: 内容为用户自行发布,如有侵权,请联系我们管理员删除,邮箱:mail@xieniao.com ,在收到您的邮件后我们会在3个工作日内处理。
相关文章
暂无评论...
赣公网安备36020002000448号