Lidocaine Hydrochloride Injection
请仔细阅读说明书并在医生的指导下使用
核准日期:2006年10月26日|修改日期:2022年8月10日
成份
本品主要成份为盐酸利多卡因。
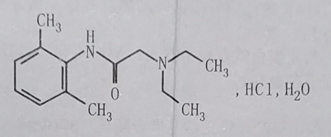
化学名称:N-(2,6-二甲苯基)-2-(二乙氨基)乙酰胺盐酸盐一水合物;
英文名称:2-Diethylamino-N-(2,6-dimethylphenyl)acetamide monohydrochloride monohydrate;
化学结构式:

分子式:C14H22N2O·HCl·H2O
分子量:288.82
辅料:氯化钠、氢氧化钠和注射用水。
规格
(1)5 mL:0.1 g;(2)10 mL:0.2 g;(3)20 mL:0.4 g。
适应症
本品为局麻药及抗心律失常药。主要用于浸润麻醉、硬膜外麻醉、表面麻醉(包括在胸腔镜检查或腹腔手术时作粘膜麻醉用)及神经传导阻滞。本品也可用于急性心肌梗塞后室性早搏和室性心动过速,亦可用于洋地黄类中毒、心脏外科手术及心导管引起的室性心律失常。本品对室上性心律失常通常无效。
用法用量
1. 麻醉用
(1)成人常用量:
①表面麻醉: 2%-4% 溶液一次不超过 100 mg。注射给药时一次量不超过 4.5 mg/kg(不用肾上腺素)或每 7 mg/kg(用 1:200000 浓度的肾上腺素)。
②骶管阻滞用于分娩镇痛:用 1.0% 溶液,以 200 mg 为限。
③硬脊膜外阻滞:胸腰段用 1.5%-2.0% 溶液,250-300 mg。
④浸润麻醉或静注区域阻滞:用 0.25%-0.5% 溶液,50-300 mg。
⑤外周神经阻滞:臂丛(单侧)用 1.5% 溶液,250-300 mg;牙科用 2% 溶液,20-100 mg ;肋间神经(每支)用 1% 溶液,30 mg,300 mg 为限;宫颈旁浸润用 0.5%-1.0% 溶液,左右侧各 100 mg;椎旁脊神经阻滞(每支)用 1.0% 溶液,30-50 mg ,300 mg 为限;阴部神经用 0.5%-1.0% 溶液,左右侧各 100 mg。
⑥交感神经节阻滞:颈星状神经用 1.0% 溶液,50 mg ;腰麻用 1.0% 溶液,50-100 mg。
⑦一次限量,不加肾上腺素为 200 mg(4 mg/kg),加肾上腺素为 300-350 mg(6 mg/kg);静注区域阻滞,极量 4 mg/kg;治疗用静注,第一次初量 1-2 mg/kg,极量 4 mg/kg,成人静滴每分钟以 1 mg 为限;反复多次给药,间隔时间不得短于 45-60 分钟。
(2)小儿常用量:随个体而异,一次给药总量不得超过 4.0-4.5 mg/kg,常用 0.25%-0.5% 溶液,特殊情况才用 1.0% 溶液。
2. 抗心律失常:
(1)常用量
①静脉注射 1-1.5 mg/kg 体重(一般用 50-100 mg)作首次负荷量静注 2-3 分钟,必要时每 5 分钟后重复静脉注射 1-2 次,但 1 小时之内的总量不得超过 300 mg 。
②静脉滴注 一般以 5% 葡萄糖注射液配成 1-4 mg/mL 药液滴注或用输液泵给药。在用负荷量后可继续以每分钟 1-4 mg 速度静滴维持,或以每分钟 0.015-0.03 mg/kg 体重速度静脉滴注。老年人、心力衰竭、心源性休克、肝血流量减少、肝或肾功能障碍时应减少用量。以每分钟 0.5-1 mg 静滴。即可用本品 0.1% 溶液静脉滴注,每小时不超过 100 mg。
(2)极量:静脉注射 1 小时内最大负荷量 4.5 mg/kg 体重(或 300 mg)最大维持量为每分钟 4 mg。
禁忌
1. 对本品或其他局部麻醉药过敏者禁用。
2. 阿-斯氏综合征(急性心源性脑缺血综合征)、预激综合征、严重心脏传导阻滞(包括窦房、房室及心室内传导阻滞)患者,禁用静脉输入。
3. 恶性高热者禁用。
注意事项
1. 麻醉用时,防止误入血管,注意局麻药中毒症状的诊治。
2. 肝肾功能障碍、肝血流量减低、充血性心力衰竭、严重心肌受损、低血容量及休克等患者慎用。
3. 对其他局麻药过敏者,可能对本品也过敏,但利多卡因与普鲁卡因胺、奎尼丁间尚无交叉过敏反应的报道。
4. 本品严格掌握浓度和用药总量,超量可引起惊厥及心跳骤停。
5. 其体内代谢较普卡因慢,有蓄积作用,可引起中毒而发生惊厥。
6. 某些疾病如急性心肌梗死病人常有α1-酸性蛋白增加,利多卡因蛋白结合也增加而降低了游离血药浓度。
7. 用药期间应注意检查血压、监测心电图,并备有抢救设备;如心电图 P-R 间期延长或 QRS 波增宽、出现其他心律失常或原有心律失常加重者应立即停药。
8. 用作局部浸润的局麻药液中加肾上素,不适用于心脏病(包括心律失常)、甲状腺功能亢进、高血压、外周失常血管病等患者。
9. 对诊断的干扰:肌内注射本品后血清乳酸脱氢酶及碱性磷酸酶升高,故诊断急性心肌梗死时应测定同工酶。
10. 长期静滴,遇有心脏或肝脏功能障碍者,应缓慢滴注速度,以免超量。
11. 用于治疗室性心律失常时,发生心肌梗塞后的 3 个月内,或有心力衰竭(左心室射血分数小于 35%)的患者避免免使用本品,除非患者有危及生命的室性心律失常。
12. 血清钾水平过低的患者在开始使用本品前,应纠正血钾水平。
13. 如果已知患者由于遗传因素而容易发生体温过高(恶性高热),则不应使用本品。
14. 急性卟啉病患者应慎用本品。
药理作用
利多卡因是一种酰胺类局部麻醉药,通过阻断神经冲动的产生和传导所需的钠离子通道,产生局部麻醉作用。
本品在低剂量时,可促进心肌细胞内 K + 外流,降低心肌的自律性,而具有抗室性心律失常作用;在治疗剂量时,对心肌细胞的电活动、房室传导和心肌收缩无明显影响;血药浓度进一步升高,可引起心脏传导速度减慢,房室传导阻滞,抑制心肌收缩力和使心排血量下降。
药代动力学
本品注射后,组织分布快而广,能透过血-脑屏障和胎盘。本品麻醉强度大、起效快、弥散力强,药物从局部消除约需 2 小时,加肾上腺素可延长其作用时间。大部分先经肝微粒酶降解为仍有局麻作用的脱乙基中间代谢物单乙基甘氨酰胺二甲苯,毒性增高,再经酰胺酶水解,经尿排出,约用量的 10% 以原形排出,少量出现在胆汁中。
毒理研究
遗传毒性
利多卡因 Ames 试验、体外中国仓鼠卵巢细胞染色体畸变试验和小鼠体内微核试验结果为阴性。
生殖毒性
大鼠生殖毒性试验中,在 6.6 倍的人用剂量下未见对胎仔的损害作用。
致癌性
利多卡因尚未开展动物长期致癌性试验。
上市许可持有人
生产企业
上海朝晖药业有限公司
赣公网安备36020002000448号