Olanzapine Tablets
请仔细阅读说明书并在医生的指导下使用
核准日期:2010年8月24日|修改日期:2019年9月3日
警示语
使用非典型抗精神病药治疗患有痴呆相关精神病性障碍的老年患者,会增加死亡的风险。对在患有痴呆相关精神病性障碍的老年患者中进行的17项安慰剂对照临床试验(平均治疗时间10周)的分析发现,药物治疗组患者死亡的风险为安慰剂对照组的1.6—1.7倍。在一项典型的10周对照临床试验中,药物治疗组的死亡率约为4.5%,安慰剂对照组约为2.6%。虽然死亡原因各异,但是大多数死于心血管病(如心衰、猝死)或感染(如肺炎)。观察性研究表明,与非典型抗精神病药物类似,使用典型抗精神病药物也会增加死亡率。在观察性研究中死亡率增加的结果可能是使用抗精神病药物的某些患者的特征还不明确。奥氮平未被批准用于治疗痴呆相关精神病性障碍(参见[注意事项])。
成份
本品主要成份为奥氮平。
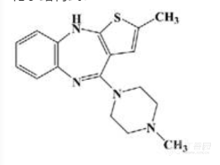
化学名称:2-甲基-4-(4-甲基-1-哌嗪基)-10 H-噻吩并[2,3-6][1,5]苯二氮杂卓。

化学结构式:
分子式:C17H20N4S
分子量:312.44
规格
5 mg;10 mg
适应症
奥氮平用于治疗精神分裂症。
对奥氮平初次治疗有效的患者,巩固治疗可以有效维持临床症状改善。
奥氮平用于治疗中、重度躁狂发作。
对奥氮平治疗有效的躁狂发作患者,奥氮平可以预防双相情感障碍的复发。
用法用量
成人
精神分裂症
奥氮平的推荐起始剂量是 10 mg/日,一日一次。
躁狂发作
单独治疗的推荐起始剂量是 15 mg,联合治疗中 10 mg,一日一次。
预防双相情感障碍复发
推荐起始剂量为 10 mg/日。对于使用奥氮平治疗躁狂发作的患者,预防复发的维持治疗剂量同前。对于新发的躁狂发作、混合发作或抑郁发作,应继续奥氮平治疗(需要时剂量适当调整),同时根据临床指征联合辅助治疗情感症状。
精神分裂症、躁狂发作和预防双相情感障碍复发的治疗剂量可以根据个体临床情况在 5—20 mg/日的剂量范围内进行调整。建议仅在适当的临床再评估后方可在推荐起始剂量的基础上加量,且加药间隔不少于 24 小时。奥氮平给药不用考虑进食因素,食物不影响吸收。停药时应考虑逐渐减量。
特殊人群
肾脏和/或肝脏功能损伤的患者
这类患者应考虑更低的起始剂量(5 mg)。中度肝功能不全(肝硬化、Child—Pugh 分级为 A 级或 B 级)的患者起始剂量为 5 mg,并应谨慎加量。
吸烟者
相对于吸烟者,非吸烟患者的起始剂量和剂量范围一般无须调整。吸烟会诱导奥氮平的代谢,推荐进行临床评价,需要时考虑增加奥氮平的剂量。当有不止一个可能减缓代谢的因素存在时(女性、老年、非吸烟),应考虑降低起始给药剂量。需要增加剂量时也应该保守。
禁忌
奥氮平禁用于已知对该产品的任何成份过敏的患者。
奥氮平禁用于已知有窄角性青光眼危险的患者。
注意事项
以下内容来自原研奥氮平国外说明书信息。中国尚未批准奥氮平用于 18 岁以下儿科人群。
使用抗精神病药物治疗过程中,患者临床症状的改善可能需要几天甚至几个星期,在此期间应密切监护患者。
痴呆相关精神病性和/或行为障碍
痴呆相关精神病性和/或行为紊乱的患者,不推荐使用奥氮平治疗,因为有增加死亡和脑血管事件的风险。在一项安慰剂对照的临床试验中(6—12 周),受试者为患有痴呆相关精神病性和/或行为紊乱的老年人(平均年龄 78 岁)。和安慰剂比较,用奥氮平治疗的患者死亡率增加了 2 倍(分别为 3.5%,1.5%)。但升高的死亡发生率与奥氮平的剂量(平均日剂量为 4.4 mg)或治疗的持续时间无相关性。导致死亡率升高的风险因素包括:年龄大于 65 岁,吞咽困难,镇静状态,营养不良和脱水,肺部疾病(如吸入或非吸入性肺炎),或同时服用苯二氮草类药物。然而,排除这些风险因素,使用奥氮平治疗的患者的死亡率依然高于使用安慰剂的患者。
在同一临床试验中,有报道脑血管不良事件(CVAE,即中风,短暂性脑缺血发作),其中包括死亡病例。用奥氮平治疗的患者出现脑血管不良事件的发生率为安慰剂的 3 倍(分别是 1.3%,0.4%)。所有出现脑血管不良事件的用奥氮平和安慰剂治疗的患者均有已经存在的风险因素。与奥氮平治疗有关的 CVAE 的风险因素包括年龄大于 75 岁和血管/混合型痴呆。奥氮平的有效性在这些试验中没有得到证实。
帕金森症
不推荐使用奥氮平治疗帕金森症及与多巴胺激动剂相关的精神病。在临床试验中,有报道这类患者服用奥氮平后帕金森症状恶化,或幻觉比安慰剂更为常见和频繁,而奥氮平对于这些患者的精神病性症状的疗效与安慰剂相当。在这些试验中,要求患者在开始时使用最低有效剂量的抗帕金森药
物(多巴胺激动剂)保持稳定状态,并且在整个试验过程中保持使用的抗帕金森药物种类和剂量的一致。奥氮平起始剂量为 2.5 mg/日,并根据研究者的判断最高调整到 15 mg/日。
神经阻滞剂恶性综合征(NMS)
NMS 是一种与抗精神病药物有关的潜在致死性疾病。用奥氮平治疗的患者罕有 NMS 的报道。NMS 的临床表现包括高热、肌肉强直、精神状态改变和植物神经系统功能不稳定现象(不规则脉搏或血压、心动过速、发汗和心律失常)。其它体征可能包括肌酐磷酸激酶升高、肌红蛋白尿(横纹肌溶解症)和急性肾衰竭。若患者出现 NMS 的临床表现,或者存在没有其他的 NMS 临床表现但无法解释的高热时,需要终止所有抗精神病药物,包括奥氮平。
高血糖和糖尿病
高血糖和/或糖尿病发展或恶化偶伴随酮症酸中毒或昏迷,包括有些死亡的病例,偶见这方面的报告。某些病例报道有既往的体重增加,这可能是一种促发因素,建议根据抗精神药物使用指南进行适当的临床监测,如测量患者在基线、接受奥氮平治疗 12 周和之后每年的血糖值。对使用任何抗精神病药物(包括奥氮平片)的患者,应观察其高血糖的体征和症状(如口渴、多尿、贪食和乏力),对糖尿病和存在糖尿病危险因素的患者应定期监测血糖以免恶化,应对体重进行定期监测(如基线、接受奥氮平治疗 4 周、8 周、12 周和之后的每个季度)。
脂质改变
在安慰剂对照的临床试验中观察到接受奥氮平治疗的患者出现脂质的异常改变。对脂质的改变,尤其是血脂异常和存在血脂紊乱危险因素的患者,应在临床上进行适当的监测,对使用任何抗精神药物(包括奥氮平片)的患者,应根据抗精神病药物使用指南进行脂质的定期监测(如基线、接受奥氮平治疗 12 周和之后每五年)。
抗胆碱能活性
离体实验证明奥氮平具有抗胆碱能活性,但临床试验中发生的与抗胆碱作用相关的事件很少。然而,奥氮平治疗有合并疾病的患者的临床经验有限,建议奥氮平慎用于前列腺肥大或麻痹性肠梗阻以及相关病症的患者。
肝功能
患者服药期间常会出现短暂的无症状性的肝脏氨基转移酶(ALT/AST)升高,尤其是治疗早期。因此 ALT 和/或 AST 升高的患者、有肝功能损害症状或体征的患者、已表现出局限性肝脏功能减退的患者以及已使用潜在肝毒性药物治疗的患者应慎用奥氮平。已诊断有肝炎(包括肝细胞型、胆汁郁积型或混合性肝损伤)的情况下,应该停止奥氮平治疗。
中性粒细胞减少症
奥氮平慎用于由任何原因引起的白细胞和/或中性粒细胞计数减低的患者、正在服用能引起中性粒细胞减少症药物的患者、有药物所致的骨髓抑制/毒性作用病史的患者、由合并疾病、放疗或化疗导致骨髓抑制的患者以及嗜酸细胞增多症或骨髓增生症的患者。奥氮平与丙戊酸钠合用时常见中性粒细胞减少症。
停药反应
突然停用奥氮平时,罕见下列急性症状,如出汗、失眠、震颤、焦虑、恶心或呕吐等( ≥ 0.01%且 < 0.1%)。
QT 间期
临床试验中,偶见(0.1%—1%)接受奥氮平治疗的患者出现有临床意义的 QTc 间期延长(基线 QTcF<500 毫秒的患者,基线后任一点的[QTcF] ≥ 500 毫秒),和安慰剂相比,出现的心脏相关事件没有统计学差异。但奥氮平与其他已知可以延长 QTc 间期的药物合用时要谨慎,尤其是在老年、先天性长 QT 综合症、充血性心脏衰竭、心肌肥厚、低钾血症或低镁血症的患者。
静脉栓塞
偶见(20.1% 且<1%)对使用奥氮平治疗与出现静脉栓塞之间时序联系的报道,两者之间的联系尚未确认。然而,由于精神分裂症患者往往伴有后天静脉栓塞的风险,因此所有可能与静脉栓塞相关的风险因素(如对患者实施固定术)均应予以考虑,并采取预防措施。
一般中枢神经系统作用
考虑到奥氣平对中枢神经系统的基本作用,与其他中枢活性药物合用时或用于饮酒患者时应慎重。由于离体奥氮平表现出多巴胺拮抗作用,故可能拮抗直接或间接的多巴胺激动剂的作用。
惊厥
奥氣平慎用于有惊厥发作史和有惊厥阔值降低因素的患者。目前偶见奥氛平引起惊厥的报道,这些病例绝大多数报告有惊厥史和惊厥危险因素。
迟发性运动障碍
在为期一年或更短的对照研究中,奥氛平与发生率较低的治疗相关运动障碍显著相关。然而,长期用药会增加发生迟发性运动障碍的风险。因此,如果使用奥氣平治疗的患者出现迟发性运动障碍体征或症状,应当考虑降低剂量或停药。停止治疗后这些症状可能会出现一过性恶化或加重。
体位性低血压
奥氣平治疗老年患者的临床试验中,偶有体位性低血压的报道。用奥氣平治疗 65 岁以上的患者时建议定期监测患者的血压。
心源性猝死
奥氣平上市后报告中报道了患者因使用奥氣平引起的心源性猝死事件。在项回顾性观察研究中,接受奥氨平治疗的患者出现心源性猝死的风险约为未服用抗精神病药物患者的两倍。该研究的一项合并研究结果显示,奥氣平与其他非典型抗精神病药物引起该事件的风险相当。
儿科患者
在年龄为 13—17 岁患者中的临床试验显示有多种不良反应:包括体重增加,代谢改变和催乳素增加。
乳糖
奥氮平片含有乳糖。患有罕见的遗传性半乳糖不耐症、拉普乳糖酶缺乏症和葡萄糖—半乳糖吸收不良的患者禁止服用此药。
对驾驶和操作机器能力的影响
没有进行奥氮平对驾驶和操作机器能力的研究。由于奥氮平可以导致嗜睡和头晕,患者在操作机器,包括机动车辆时应谨慎。
药理作用
药理作用
奥氣平与其它治疗精神分裂症的药物一样,作用机制尚不清楚。但是,奥気平治疗精神分裂症的作用可能是通过对多巴胺和 5—羟色胺 2(5—HT2)的拮,抗作用。奥氨平治疗与 1 型双相情感障碍有关的急性躁狂或混合发作的机理尚不清楚。
奥氣平与以下受体有高亲和力:5—轻色胺 2A(5HT2A)、5—羟色胺 2C(5HT2c)、5—羟色胺 6(5HTg)受体(Ki 分别为 4、11,5nM),多巴胺 D1~D4 受体(Ki 为 11~31nM),组胺 Hj 受体(Ki 为 7nM),肾上腺素能 a1 受体(Ki 为 19nM)。奥氣平与 5—羟色胺 3(5HT3)受体(Ki 为 57nM)、毒草碱 M1~Ms 受体(Ki 分别为 73、96、132、32、48nM)有中等亲和力。奥氮平与 GABAA、BZD、肾上腺素能 B 受体亲和力弱(Ki>10pM)。
除了对多巴胺和 5—HT2 的括抗作用外,奥気平对其他受体的亲和力可以解释其某些其他的治疗作用和副作用。奥氮平的抗胆碱能作用可能是由其拮抗毒蕈碱 M1~5 受体的作用引起的。奥氣平的嗜睡作用可能是由其拮抗组胺 H1 受体的作用引起的。奥氣平的直立性低血压的作用可能是其括抗肾上腺素能 a1 受体的作用引起的。
药代动力学
吸收
奥氮平口服给药后吸收良好,在 5—8 小时内达到血浆药物浓度峰值。药物吸收不受食物影响。口服与静脉给药相比的绝对生物利用度尚未确定。
分布
在大约 7 ng/mL 到 1000 ng/mL 的浓度范围内,奥氮平血浆蛋白结合率大约是 93%。奥氮平主要与白蛋白和 a1 酸性糖蛋白结合。
生物转化
奥氮平在肝脏主要通过葡萄糖醛酸结合和氧化通路代谢。循环系统中的主要循环代谢物为 10—N—葡萄糖醛酸结合物,不能透过血脑屏障。细胞色素 P450 CYP1A2 和 P450 CYP2D6 促使 N—去甲基和 2—羟甲基代谢物的形成。动物实验显示这两个代谢物的体内药理活性均显著低于奥氮平。主要药理活性来源于母药奥氮平。
消除
健康志愿者口服给药,年龄和性别均为奥氮平的平均终末消除半衰期的影响因素。
健康老年人(65 岁及以上)受试者与健康年轻受试者相比,药物平均消除半衰期延长(分别为 51.8hr 和 33.8hr),药物消除减缓(清除率分别为 17.5L/hr 和 18.2L/hr)。所观察到的老年人的药代动力学变异处于年轻人群的变异范围之内。44 名 65 岁以上的老年精神分裂症患者给予 5—20 mg/日奥氮平,未发现任何特殊的不良事件。
女性受试者的药物平均消除半衰期较男性受试者长(分别为 36.7hr 和 32.3hr),药物清除减缓(清除率分别为 18.9L/hr 和 27.3L/hr)。但安全性结果显示,奥氮平(5—20 mg)在女性患者(n=467)中的安全性与男性患者(n=869)相当。
肾损伤
药物在肾功能衰竭的患者(肌酐清除率 < 10 ml/min)和健康受试者中的平均消除半衰期分别为 37.7hr 和 32.4hr,药物清除率分别为 21.1L/hr 和 25.0L/hr 均无显著差异。一项物料平衡研究显示,约 57%放射性标记的奥氮平在尿中出现,主要为代谢产物。
吸烟者
伴有轻度肝功能损害的吸烟患者和普通的吸烟患者相比,平均药物消除半衰期延长(39.3hr),清除率降低(18.0L/hr)。非吸烟患者情况类似(消除半衰期和清除率分别为 48.8hr 和 14.1L/hr)。
非吸烟患者与吸烟患者(男性和女性)相比,平均消除半衰期延长(38.6hr 比 30.4hr),清除率降低(18.6L/hr 比 27.7L/hr)。
相比于年轻人、男性受试者和吸烟者,奥氮平在老年人、女性受试者和非吸烟者的血浆清除率降低。但是,年龄、性别或吸烟与否对奥氮平的清除率和半衰期的影响与个体间的总体变异幅度相比较小。
在高加索、日本和中国受试者的研究中,三个群体之间奥氮平药物代谢动力学无差异。细胞色素 P450 亚型 CYP2D6 情况不影响奥氮平代谢。
儿科患者
青少年(13—17 岁):奥氮平的药代动力学特性在青少年与成人中相似。临床研究结果显示,青少年的奥氮平平均暴露量比成年人高约 27%。青少年和成人的人口统计学差异包括平均体重较低和青少年吸烟者较少。这类因素可能与在青少年中观察到的平均暴露量较高有关。
临床试验
精神分裂症
成人
在符合 DSM—III—R 诊断标准的精神分裂症住院病人中进行的两项短期(为期 6 周)的对照临床试验确定了口服奥気平治疗精神分裂症的疗效。其中一项研究设计了氣啶醇单药治疗组作为阳性对照,但该试验并未对这两种药物在具有临床意义的整个剂量范围进行比较。
这些研究采用了一些工具来评价精神病性症状,其中《简明精神病评定量表》(BPRS)是一个由多个条目构成的常用精神科评定量表,通常用于评价药物治疗精神分裂症的疗效。BPRS 的精神病性症状(言行素乱、幻觉、多疑、思维怪异)被认为是评价精神分裂症患者精神病性阳性症状的非常有用的工具。第二个经典的评价量表,即《临床总体印象量表》(CGI),由对精神分裂症表现非常熟悉的评定者对患者总体临床印象的评定。此外,还采纳了两项最新开发的量表;其中包括由 30 个条目组成的《阳性和阴性症状量表》(PANSS),量表包括 BPRS 的 18 个条目,以及《阴性症状评定量表》(SANS)。下述临床试验重点总结了以下指标:PANSS 总分和/或 BPRS 总分;BPRS 精神病性症状簇; PANSS 阴性症状分量表或 SANS; CGI 严重度。试验结果如下:
(1)在一项为期 6 周的安慰剂对照临床试验(n = 149)中,设定了两个固定的奥気平剂量组,即 1 mg/日和 10 mg/日(每日一次),奥氣平 10 mg/日(而不是 1 mg/日)在 PANSS 总评分(以及从中算出的 BPRS 总分)、BPRS 精神病症状簇、PANSS 阴性症状评分和 CGI 严重度方面优于安慰剂。
(2)一项为期 6 周的安慰剂对照临床试验(n = 253)中设定了三个固定剂量的奥気平组(5 + 2.5 mg/日、10 + 2.5 mg/日和 15 + 2.5 mg/日),每日给药一次, 奥氮平两个最高剂量组(实际平均剂量分别为 12 mg/日和 16 mg/日)在 BPRS 总评分、BPRS 精神病性症状簇和 CGI 严重度方面优于安慰剂组;奥氣平最高剂量组 SANS 评分优于安慰剂组。高剂量组与中剂量组比较未发现明确的优势。
(3)在一项长期临床试验中,选择符合 DSM—IV 精神分裂症标准,采用固定剂量的奥氮平开放治疗至少 8 周的成年门诊患者(n=326),随机分配到继续服用当前剂量的奥氮平治疗组(剂量范围 10—20 mg/日)或安慰剂组。计划随访 12 个月,观察患者复发情况,复发定义为 BPRS 阳性症状增加或入院。然而,试验结果符合提前终止该试验的标准,因为安慰剂组与奥氮平组相比,复发率过高。对于复发时间这个主要指标而言,奥氮平优于安慰剂。因此,对于服用奥氮平大约 8 周病情稳定且随访期长达 8 个月的患者,在维持疗效方面奥氮平比安慰剂更加有效。
对该结果进行亚组(种族和性别)分析,未发现有效性上的任何差异。
双相情感障碍
成人
单药治疗——两项短期(3 周,4 周)安慰剂对照临床试验确定了口服奥氮平对急性躁狂发作或混合发作的治疗作用。受试者是符合 DSM—IV 诊断标准的躁狂发作或混合发作的双相 I 型情感障碍患者。这些受试者包含了伴有或不伴有精神病性特征,以及伴有或不伴有快速循环病程的患者。
在这些临床试验中,用于评价躁狂症状的主要工具是 Young 躁狂量表(Y—MRS)。该量表有 11 个条目,通常用于评价躁狂症状(易激惹、破坏/攻击行为、睡眠、心境高涨、滔滔不绝、活动增加、性欲增加、语言/思维障碍、思维内容、外表和自知力)的程度,范围从 0(无躁狂特征)到 60(最大评分)。这些临床试验的主要疗效指标是 Y—MRS 总分相对于基线的变化。试验结果如下:
(1)在一项为期 3 周安慰剂对照临床试验(n=67)中,奥氮平剂量范围为 5—20 mg/日,每日一次,起始剂量 10 mg/日,在 Y—MRS 总分减分上,奥氮平优
于安慰剂。在另外一项同时进行且设计相同的临床试验中,奥氮平显示出类似的疗效差异,但是可能由于样本量和研究单位的变异性,在 Y—MRS 总分减分上奥氮平没有表现出优于安慰剂。
(2)一项为期 4 周的安慰剂对照临床试验(n=115)中,奥氮平剂量范围为 5—20 mg/日,每日一次,起始剂量 15 mg/日。在 Y—MRS 总分减分上奥氮平优于安慰剂。
(3)在另一项临床试验中,361 名病人符合 DSM—IV 中双相情感障碍躁狂发作或混合发作的诊断标准。且在最初大约为期 2 周的奥氮平平均 5—20 mg/日开放治疗有效。这些病人随机分组继续给予相同剂量的奥氮平(n=225)或安慰剂(n=136),观察复发情况。在双盲治疗期间,奥氮平组大约 50%患者到 59 天时终止试验,而安慰剂组到 23 天时有 50%患者终止试验。在开放试验期间,把 Y—MRS 总分降低到 ≤ 12 和 HAM—D21 评分降低到 ≤ 8 定义为有效。双盲试验期间,把 Y—MRS 总分或 HAM—D21 总分升高到 ≥ 15,或者因躁狂或抑郁发作住院,定义为复发。随机试验期间,继续接受奥氮平治疗的患者复发时间显著延长。
联合锂剂或丙戊酸钠——两项对照临床试验确定了口服奥氮平与锂剂或丙戊酸盐联合用药对急性躁狂性发作患者的治疗作用,这些患者符合双相型情感障碍躁狂发作或混合发作的 DSM—IV 标准。患者伴有或不伴有精神病性症状,且伴有或不伴有快速循环病程。试验结果如下:
(1)在一项为期 6 周的安慰剂对照联合试验中,175 名经锂剂或丙戊酸盐治疗不能充分控制躁狂性或混合性症状(Y—MRS ≥ 16)的门诊患者,随机加用奥氮平或安慰剂,与原先使用的药物进行联合治疗。在 Y—MRS 总分减分上,奥氮平(剂量范围 5—20 mg/日,每日一次,起始剂量 10 mg/日)联合锂剂或丙戊酸盐治疗(治疗范围分别是 0.6mEq/L-1.2mEq/L 或 50 μg/mL-125 μg/mL)优 于锂剂或丙戊酸盐单独治疗。
(2)在第二项为期 6 周的安慰剂对照联合试验中,169 名经锂剂或丙戊酸盐治疗不能充分控制躁狂性或混合性症状(Y—MRS ≥ 16)的门诊患者。随机加用奥氮平或安慰剂,与原先使用的药物进行联合治疗。在 Y—MRS 总分减分上,奥氮平(剂量范围 5—20 mg/日,每日一次,起始剂量 10 mg/日)联合锂剂或丙戊酸盐治疗(治疗范围分别是 0.6mEq/L-1.2mEq/L 或 50 μg/mL-125 μg/mL) 优于锂剂或丙戊酸盐单独治疗。
毒理研究
毒理研究
一般毒理
单次给药毒性:啮齿类动物经口给药的毒性症状表现为强效神经抑制剂的特征:活动减少、昏迷、震颤、阵李性抽搐、流涎以及体重增长减缓,半数致死量约为 210 mg/kg(小鼠)和 175 mg/kg(大鼠)。犬单次经口给药的耐 受剂量可达 100 mg/kg,临床症状包括镇静、共济失调、震颤、心率增加、呼吸困难、瞳孔缩小以及食欲减退。猴单次经口给药剂量达 100 mg/kg 时,可出现俯卧,更高剂量会导致猴出现半昏迷状态。
重复给药毒性:在小鼠 3 个月、大鼠和犬 1 年试验中发现,奥氢平主要影响为中枢神经系统抑制、抗胆碱能作用以及外周血液学异常。中枢神经系统抑制会逐渐产生耐受。高剂量时生长参数降低。大鼠中产生与催乳素水平增高一致的可逆性变化,包括卵巢和子宫的重量下降、阴道上皮和乳腺的形态学变化。
奥氮平的动物试验中,主要的血液学改变包括:个别犬在给药剂量为 10 mg/kg(以体表面积计,相当于人口服最大推荐剂量的 17 倍)时出现可逆性外周血细胞减少,小鼠出现淋巴细胞、中性粒细胞剂量相关性减少,大鼠出现淋巴细胞减少。少数犬给药剂量为 10 mg/kg 时,在给药 1~10 个月后出现可逆性的中性粒细胞减少和/或可逆性的溶血性贫血。小鼠剂量为 10 mg/kg(以体表面积计,相当于人口服最大推荐剂量的 2 倍),连续给药 3 个月,淋巴细胞和中性粒细胞数量呈剂量相关性减少。大鼠剂量为 22.5 mg/kg(以体表面积计,相当于人口服最大推荐剂量的 11 倍)连续给药 3 个月,或 16 mg/kg(以体表面积计,相当于人口服最大推荐剂量的 8 倍)连续给药 6 或 12 个月,出现非特异性淋巴细胞减少和体重增重的减少。在所进行的动物试验中未发现骨髓细胞毒性。骨髓细胞数正常或偏多,提示循环中血细胞的减少可能是外周因素(非髓性因素)。
遗传毒性
奥氮平 Ames 试验、CHO 细胞染色体畸变试验、大鼠肝细胞程序外 DNA 合成试验、小鼠淋巴瘤细胞试验、小鼠体内微核试验、中国仓鼠体内骨髓姐妹染色单体互换试验结果均为阴性。
生殖毒性
在大鼠生育力和生殖行为试验中,雄性大鼠经口给予 22.4 mg/kg/天(以体表面积计,相当于人口服最大推荐剂量的 11 倍)时交配能力(非生育力)受损,雌性大鼠经口给予 3 mg/kg/天(以体表面积计,相当于人口服最大推荐剂量的 1.5 倍)生育力降低。雄性大鼠的交配能力在停药后可恢复。雌性大
鼠在剂量为 5 mg/kg/天(以体表面积计,相当于人口服最大推荐剂量的 2.5 倍)时交配前时间延长,交配指数下降。在剂量为 1.1 mg/kg/天(以体表面积计,相当于人口服最大推荐剂量的 0.6 倍)时大鼠动情间情延长,动情期延迟,因此奥氮平可能使排卵延迟。
在致畸敏感期毒性试验中,大鼠剂量达 18 mg/kg/天,免剂量达 30 mg/kg/天(以体表面积计,分别相当于人口服最大推荐剂量的 9 和 30 倍)时,未观察到致畸作用。大鼠试验中,剂量为 18 mg/kg/天时胎仔早期吸收和胎仔死亡数增加,剂量为 10 mg/kg/天(以体表面积计,相当于人口服最大推荐剂量的 5 倍)时妊娠期延长。兔试验中,在母体毒性剂量 30 mg/kg/天时出现胎仔毒性(如吸收胎增加和胎仔体重降低)。
奥氣平可通过胎盘转运进入大鼠胎仔体内。
致癌性
在小鼠和大鼠中进行了经口给药致癌性试验。在两个小鼠 78 周试验中,奥氨平剂量分别为 3、10、30/20 mg/kg/天(以体表面积计,相当于人口服最大推荐剂量的 0.8~5 倍)和 0.25、2,8 mg/kg/天(以体表面积计,相当于人口服最大推荐剂量的 0.06~2 倍)。大鼠试验为 2 年,雄性大鼠剂量为 0.25、1.2.5, 4 mg/kg/天,雌性大鼠剂量为 0.25、1、4, 8 mg/kg/天(以体表面积计,分别相当于人口服最大推荐剂量的 0.13~2 倍和 0.13~4 倍)。在一项小鼠试验中,雌鼠给予 8 mg/kg/天剂量时肝脏血管瘤和血管肉瘤的发生率明显增加。在另一项试验中,雌鼠在 10、30/20 mg/kg/天剂量(以体表面积计,相当于人口服最大推荐剂量的 2~5 倍)时未见肝脏血管瘤和血管肉瘤的发生率增加,但在 30/20 mg/kg/天时雄性动物早期死亡发生率高。雌性小鼠在>2 mg/kg/天,雌性大鼠在>4 mg/kg/天(以体表面积计,分别相当于人口服最大推荐剂量的 0.5 倍和 2 倍)时,乳腺腺瘤和腺癌发生率明显增加。研究表明,长期给予抗精神病类药可升高啮齿类动物的催乳素水平。在奥氨平致癌性试验中,未测定血清催乳素水平,但在亚慢性毒性试验中采用了与致癌性试验相同的剂量,奥氮平可使大鼠血清催乳素水平升高最高达 4 倍。啮齿类动物长期给予其他抗精神病类药后乳腺肿瘤发生率增加,认为是通过催乳素介导。啮齿类动物中催乳素介导的内分泌肿瘤与人类的相关性尚不清楚。
上市许可持有人
Dr.Reddy’s Laboratories Limited
生产企业
Dr.Reddy`s Laboratories Limited