Citicoline Sodium Injection
请仔细阅读说明书并在医生的指导下使用
脑出血急性期不宜大剂量使用。肌注一般不采用,若用时应经常更换注射部位。
成份
本品主要成份为胞磷胆碱钠。
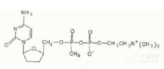
化学名称为:胆碱胞嘧啶核苷二磷酸酯的单钠盐。
其结构式为:

分子式:C14H25N4NaO11P2
分子量:510.31
辅料为:磷酸二氢钠、磷酸氢二钠、依地酸二钠。
规格
2 ml:0.25 g。
适应症
辅酶。用于急性颅脑外伤和脑手术后的意识障碍。
用法用量
静脉滴注:一日 0.25-0.5 g,用 5% 或 10% 葡萄糖注射液稀释后缓缓滴注,每 5-10 日为疗程:单纯静脉注射:每次 0.1-0.2 g;肌内注射:一日 0.1-0.3 g,分 1-2 次注射。
禁忌
尚不明确。
注意事项
脑出血急性期不宜大剂量应用。肌注一般不采用,若用时应经常更换注射部位。
药理作用
本品为核苷类衍生物,具有増强脑干上行网状结构激动系统和锥体系统的活动,提高意识水平和运动机能的作用;本品还有降低大脑血管阻力,増加大脑血流量,尤其是增加脑干部的血流量,从而改善脑循环,对促进大脑功能恢复和苏醒有一定的作用。
药代动力学
注入本品可迅速进入血流,并有部分通过血脑屏障进入脑组织。其中胆破部分在体内成为良好的甲基化供体,可对多种化合物有转甲基化作用,约有 1% 的胆碱可从尿中排出。
生产企业
多多药业有限公司
© 版权声明
特别提醒: 内容为用户自行发布,如有侵权,请联系我们管理员删除,邮箱:mail@xieniao.com ,在收到您的邮件后我们会在3个工作日内处理。
相关文章
暂无评论...
赣公网安备36020002000448号