Timolol Maleate Eye Drops
请仔细阅读说明书并在医生的指导下使用
核准日期:2006年11月14日|修改日期:2020年12月30日
不良反应、禁忌、注意事项及特殊人群用药详见说明书中黑体内容。
成份
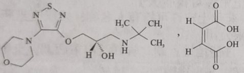
本品主要成份为马来酸噻吗洛尔,其化学名称为:(一)-1-(叔丁氨基)-3-[(4-吗啉基-1,2,5-噻二唑-3-基)氧]-2-丙醇马来酸盐,每支含抑菌剂羟苯乙酯 1.5 mg。
化学结构式:

分子式:C13H24N4O3S·C4H4O4
分子量:432.49
规格
5 mL:25 mg(按噻吗洛尔计)
适应症
对原发性开角型青光眼具有良好的降低眼内压疗效。对于某些继发性青光眼,高眼压症,部分原发性闭角型青光眼以及其他药物及手术无效的青光眼,加用本品滴眼可进一步增强降眼压效果。
用法用量
滴眼,一次 1 滴,一日 1-2 次,如眼压已控制,可改为一日 1 次。如原用其他药物,在改用本品治疗时,原药物不易突然停用,应自滴用本品的第二天起逐渐停用。
禁忌
- 支气管哮喘者或有支气管哮喘史者,严重慢性阻塞性肺部疾病。
- 窦性心动过缓,II 或 III 度房室传导阻滞,明显心衰,心源性休克。
- 对本品过敏者。
注意事项
-
当出现呼吸急促、脉搏明显减慢、过敏等症状时,请立即停止使用本品。
-
使用中若出现脑供血不足症状时应立即停药。
-
心功能损害者,使用本品时应避免服用钙离子拮抗剂。
-
对无心衰史的患者,如出现心衰症状应立即停药。
-
正在服用儿茶酚胺耗竭药(如利血平)者,使用本品时应严密观察。
-
冠状动脉疾患、糖尿病、甲状腺机能亢进和重症肌无力患者,用本品滴眼时需遵医嘱。
-
本品慎用于自发性低血糖患者及接受胰岛素或口服降糖药治疗的患者,因β受体阻滞剂可掩盖低血糖症状。
-
本品不宜单独用于治疗闭角型青光眼。
-
与其他滴眼液联合使用时,请间隔 10 分钟以上。
-
定期复查眼压,根据眼压变化调整用药方案。
-
用前应摇匀,避免容器尖端接触眼睛,防止滴眼液污染。
-
运动员慎用。
药理作用
马来酸噻吗洛尔是一种非选择性β-肾上腺能受体阻滞剂,没有明显的内源性拟交感活性和局麻作用,对心肌无直接抑制作用。本品为马来酸噻吗洛尔滴眼液,对高眼压患者和正常人均有降低眼内压作用。其降低眼内压的确切机理尚不清楚,眼压描记和房水荧光光度研究提示本品的降眼压作用与减少房水生成有关。
药代动力学
动物实验显示,用 0.5% 本品对家兔单剂量滴眼,房水和血中的药物峰浓度出现在用药后 30 分钟,半衰期为 1.5 小时。全身吸收的马来酸噻吗洛尔在肝内代谢,70% 的药物原型随尿排出。对 6 个接受治疗者的血浆药物浓度测定显示,每日用 0.5% 本品滴眼 2 次,早晨滴药后的平均血浆峰浓度为 0.46 ng/mL,下午滴眼后的为 0.35 ng/mL。
毒理研究
非临床毒理研究:
致癌性:动物实验显示长期大量口服马来酸噻吗洛尔可使雄性大鼠肾上腺嗜铬细胞瘤,雌性小鼠良性及恶性肺部肿瘤,良性子宫息肉及乳腺癌的发生率明显增高。
生殖毒性:动物实验显示大剂量口服马来酸噻吗洛尔,对雄、雌性小鼠的生殖功能均无影响。
化学成份
化学名为:(一)-1-(叔丁氨基)-3-[(4-吗啉基-1,2,5-噻二唑-3-基)氧]-2-丙醇顺丁烯二酸盐。
上市许可持有人
生产企业
武汉五景药业有限公司
赣公网安备36020002000448号