Amoxicillin for Suspension
请仔细阅读说明书并在医生的指导下使用
核准日期:2017年9月13日
成份
【化学名称】
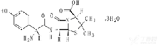
本品主要成份为阿莫西林,其化学名称为:(2 S,5R,6R)-3,3-二甲基-6-[(R)-(-)-2-氨基-2-(4-羟基苯基)乙酰氨基]-7-氧代-4-硫杂-1-氮杂双环[3.2.0]庚烷-2-甲酸三水合物。
【化学结构式】

【分子式】
C16H19N3O5S·3 H2O
【分子量】
419.46
规格
按16H19N3O5S 计 0.25g
适应症
适用于敏感菌(不产β-内酰胺酶菌株)所致的下列感染:
- 溶血链球菌、肺炎链球菌、葡萄球菌或流感嗜血杆菌所致中耳炎、鼻窦炎、咽炎、扁桃体炎等上呼吸道感染。
- 大肠埃希菌、奇异变形杆菌或粪肠球菌所致的泌尿生殖道感染。
- 溶血链球菌、葡萄球菌或大肠埃希菌所致的皮肤软组织感染。
- 溶血链球菌、肺炎链球菌、葡萄球菌或流感嗜血杆菌所致急性支气管炎、肺炎等下呼吸道感染。
- 急性单纯性淋病。
- 本品尚可用于治疗伤寒、伤寒带菌者及钩端螺旋体病;亦可与克拉霉素、兰索拉唑三联用药根除胃、十二指肠幽门螺杆菌,降低消化道溃疡复发率。
本品为无糖(蔗糖、葡萄糖)配方,特别适合儿童。
用法用量
口服。本品在胃肠道的吸收不受食物影响,所以可在空腹或餐后服药,并可与牛奶等食物同服。
袋装:撕开小袋,把药粉倒入适量凉开水中,摇匀即可服下。
成人:一般感染者一次 500 mg(2 包),每 6~8 小时 1 次;重症者加至一次 1000 mg(4 包),每 6~8 小时 1 次或遵医嘱。
儿童:按体重一次 6.7~13.3 mg/kg,每 8 小时 1 次或遵医嘱。

禁忌
青霉素过敏及青霉素皮肤试验阳性患者禁用。
注意事项
- 用药前必须进行青霉素钠皮内敏感试验,阳性反应者禁用。
- 伴有单核细胞增多和淋巴细胞增多的患者,出现皮疹的机会多一些。
- 与青霉素类和头孢菌素类之间存在交叉过敏性和交叉耐药性。
- 类似其他广谱抗生素,有可能发生由念珠菌等非敏感微生物引起的二重感染,尤其是慢性病患者和自身免疫功能失调者。
药理作用
广谱半合成青霉素,对于溶血性链球菌、草绿色链球菌、肺炎球菌、青霉素 G 敏感金黄色葡萄菌、淋球菌、流感嗜血杆菌、肠球菌、沙门氏菌、伤寒杆菌及变形杆菌等均有抗菌作用。对产生青霉素酶的金黄色葡萄菌无作用。细菌对本品和氨苄青霉素有完全交叉耐药性。
药代动力学
阿莫西林口服给药后,75%~90% 由胃肠道迅速吸收,胃内食物的存在不会明显地影响药物的吸收。本品 0.5 g 口服血药浓度的达峰时间(tmax)约为(1.28±0.17)小时,血药浓度峰值(tmax)约为(7.07±1.26)μg/ml。
本品吸收后能很好地渗入脑脊液、中耳液、唾液、支气管分泌液、扁桃体、增殖腺、胆汁、骨髓及羊水等,并能迅速分布到肾、肺、肝等重要器官。本品在组织体液中的浓度大大超过了其在体内的最低抑菌浓度。
本品主要通过肾小球滤过和肾小管分泌以原形自尿中排出,8 小时尿中排泄可达 50%~70%,另有 20% 以青霉噻唑酸自尿中排泄。丙磺舒可延缓本品经肾排泄。
上市许可持有人
生产企业
四川好医生药业集团有限公司
赣公网安备36020002000448号