Azithromycin For Suspension
请仔细阅读说明书并在医生的指导下使用
核准日期:2007年2月26日|修改日期:2019年1月1日
成份
本品主要成份为阿奇霉素。
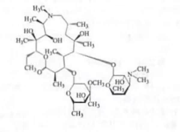
化学名称:(2R,3 S,4R,5R,8R,10R,11R,12 S,13 S,14R)-13-[(2,6-二脱氧-3-C-甲基-3-O-甲基-α-L-核-己吡喃糖基)氧]-2-乙基-3,4,10-三羟基-3,5,6,8,10,12,14-七甲基-11-[[3,4,6-三脱氧-3-(二甲氨基)-β-D-木-己吡喃糖基]氧]-1-氧杂-6-氮杂环十五烷-15-酮。
化学结构式:

二水合物分子式:C38H72N2O12▪2 H2O
无水物分子式:C38H72N2O12
二水合物分子量:785.03
无水物分子量:749.00
规格
0.1g
适应症
本品适用于敏感细菌所引起的下列感染:
支气管炎、肺炎等下呼吸道感染;皮肤和软组织感染;急性中耳炎;鼻窦炎、咽炎、扁桃体炎等上呼吸道感染(青霉素是治疗化脓性链球菌咽炎的常用药,也是预防风湿热的常用药物。阿奇霉素可有效清除口咽部链球菌,但目前尚无阿奇霉素治疗和预防风湿热疗效的资料)。
阿奇霉素可用于男女性传播疾病中由沙眼衣原体所致的单纯性生殖器感染。阿奇霉素亦可用于由非多重耐药淋球菌所致的单纯性生殖器感染及由杜克嗜血杆菌引起的软下疳(需排除梅毒螺旋体的合并感染)。
用法用量
每日口服药一次。溶于水中,服用前搅拌均匀。可与食物同时服用。以阿奇霉素干混悬剂治疗各种感染性疾病,其疗程及使用方法如下:
成人:
对沙眼衣原体、杜克嗜血杆菌或敏感淋球菌所致的性传播疾病,仅需单次口服本品 1.0 g(10 袋)。
对其他感染的治疗:
总剂量 1.5 g(15 袋),每日一次服用本品 0.5 g(5 袋)共三天。或总剂量相同,仍为 1.5 g(15 袋),首日服用 0.5 g(5 袋),第二至第五日每日一次口服本品 0.25 g(2.5 袋)。
肾功能不全患者:
轻、中度肾功能不全者(肾小球滤过率为 10-80 mL/min)不需要调整剂量,严重肾功能不全者(肾小球滤过率 < 10 mL/min)用药请遵医嘱。
肝功能不全患者:
轻中度肝功能不全患者,本品的用法与用量同肝功能正常者。
禁忌
已知对阿奇霉素、红霉素、其他大环内酯类或酮内酯类药物过敏的患者禁用。以前使用阿奇霉素后有胆汁淤积性黄疸/肝功能不全病史的患者禁用。
警告
过敏反应
采用阿奇霉素治疗引起严重变态反应,包括血管神经性水肿、过敏性休克反应、皮肤反应,包括 Stevens Johnson 综合征及中毒性表皮坏死松解症等的报告非常少见。虽然罕见,但有死亡的报道。某些患者出现过敏症状时,起初给予对症治疗有效,若过早停止治疗,即使未再用阿奇霉素,过敏症状仍可迅速复发。对这类患者需延长对症治疗和观察的时间。目前尚不知这些事件的发生是否与阿奇霉素在组织中的半衰期长因而机体暴露于抗原的时间较长有关。
如发生变态反应,应立即停药并给予适当的治疗。医生应知道,停止对症治疗后,过敏症状可能再次出现。
肝毒性
曾有肝功能异常、肝炎、胆汁淤积性黄疸、肝坏死以及肝衰竭的报道,其中某些病例可能致死。如果出现肝炎症状和体征,应立即停止使用本品。
难辨梭菌相关性腹泻
几乎所有抗菌药物的应用都有难辨梭菌相关性腹泻(CDAD )的报告,其中包括本品,其严重程度可表现为轻度腹泻至致死性结肠炎。抗菌药物治疗可引起结肠内正常菌群的改变,导致难辨梭菌的过度繁殖。
难辨梭菌产生的毒素 A 和毒素 B 与 CDAD 的发病有关。高产毒的难辨梭菌导致发病率和死亡率升高,这些感染可能难以用抗菌药物治疗,可能需要结肠切除术。对于所有使用抗生素后出现腹泻的患者,必须考虑到 CDAD 的可能。由于曾经有给予抗菌药物治疗超过 2 个月后发生 CDAD 的报道,因此需仔细询问病史。
如果怀疑或确诊 CDAD,可能需要停用正在使用的并非针对难辨梭菌的抗生素。必须根据临床需要适当补充水、电解质和蛋白质,并给予对难辨梭菌有效的抗生素,必要时进行手术评估。
注意事项
1. 与红霉素和其它大环内酯类一样,罕有严重的过敏反应报告如血管性水肿和过敏症(罕有致命性)。有些因阿奇霉素引起的反应可反复发作,需较长时间的观察和治疗。
2. 曾有报道接受麦角衍生物治疗的患者同时服用某些大环内酯类抗生素时会发生麦角中毒。虽然尚无资料表明麦角和阿奇霉素有相互作用,但是由于理论上存在麦角中毒的可能性,所以阿奇霉素和麦角衍生物不宜同时给药。
3. 同其他抗生素制剂一样,应注意观察包括真菌在内的非敏感菌所致的二重感染症状。
一般事项:由于阿奇霉素主要经肝脏清除,故肝功能损害的患者应慎用阿奇霉素。GFR<10 mL/min 的受试者的资料有限,这类患者也应慎用阿奇霉素。曾有肝功能异常、肝炎、胆汁淤积性黄疸、肝坏死和肝衰竭的报道,其中某些病例可能致死。如果出现肝炎的体征和症状,应立即停用阿奇霉素。
本品应按说明书溶解和稀释,静脉滴注的时间不能少于 60 分钟。
有报道静脉应用阿奇霉素时注射局部可出现不良反应。给予阿奇霉素 500 mg,配制成浓度 2 mg/mL,250 mL 的溶液在 1 小时内滴完或配成 1 mg/mL,500 mL 的溶液在 3 小时内滴完。注射局部不良反应的发生率和严重程度均相似。所有接受阿奇霉素药液浓度大于 2.0 mg/mL 的志愿者均出现注射局部反应,所以静滴时的药液浓度不能太高。
QT 间期延长
有报道,应用其他大环内酯类抗生素包括阿奇霉素可引起心室复极化和 QT 间期延长,从而有发生心律失常和尖端扭转型室性心动过速的风险。在对使用阿奇霉素患者的上市后监测中,有尖端扭转型室性心动过速案例的自发性报告。在权衡高危人群使用阿奇霉素的风险和获益时,医疗卫生保健人员应考虑可能致命的 QT 间期延长的风险,高危人群包括:
•已知有 QT 间期延长、尖端扭转型室性心动过速病史、先天性 QT 间期延长综合征、缓慢性心律失常或失代偿性心力衰竭的患者。
•服用已知可延长 QT 间期药物的患者,如抗精神病药物、抗抑郁药物和氟喹诺酮类药物治疗的患者。
•处于致心律失常状态的患者,如未纠正的低钾血症或低镁血症、有临床意义的心动过缓,以及正在接受 IA 型(奎尼丁、普鲁卡因胺)和 III 型(多非利特、胺碘达隆、索他洛尔)抗心律失常药物的患者。
•老年患者:老年患者可能对药物相关的 QT 间期影响更为敏感。
阿奇霉素治疗的患者中曾有重症肌无力症状加重或新发肌无力综合征的报告。
在未确诊或并非高度怀疑细菌感染,或无预防指征的情况下,使用本品可能对患者无益,还会增加耐药菌产生的风险。
患者需知:
出现任何变态反应征象时,应立即停用阿奇霉素,并与医生联系。
患者应被告知抗菌药物包括本品(阿奇霉素)只能用于治疗细菌感染,不能用于治疗病毒感染(例如普通感冒)。使用本品(阿奇霉素)治疗细菌感染时,必须告知患者虽然通常治疗初期会感觉好转,仍应当按照医师指导精确服药。漏服或未完成整个疗程可能会:(1)降低当前治疗的疗效;(2)增加细菌耐药的可能性,将导致将来阿奇霉素或其他抗菌药物无法治疗这些耐药菌。
抗生素治疗常常可引起腹泻,停用抗生素后通常可恢复。有时给予抗生素治疗后,患者甚至在最后 1 次用抗生素后 2 个月或更久后出现水样便或血性便(伴或不伴胃痉挛和发热)。如果出现这种情况,患者应尽快与医生联系。
药理作用
阿奇霉素是大环内酯类抗生素亚类之一,即氮杂内酯类抗生素的第一个药物。
阿奇霉素的作用机制是通过和 50 S 核糖体的亚单位结合及阻碍细菌转肽过程,从而抑制细菌蛋白质的合成。
体外试验证明阿奇霉素对多种常见致病菌有效。包括:
革兰阳性需氧菌:金黄色葡萄球菌、化脓性链球菌(A 组β-溶血性链球菌)、肺炎链球菌、α溶血性链球菌(草绿色链球菌组)、其它链球菌及白喉棒状杆菌。阿奇霉素对于耐红霉素的革兰阳性菌包括粪链球菌(肠球菌)以及大多数耐甲氧西林的葡萄球菌菌株呈现交叉耐药性。
革兰阴性需氧菌:流感嗜血杆菌、副流感嗜血杆菌、卡他莫拉菌、不动杆菌属、耶尔森菌属、嗜肺军团菌、百日咳杆菌、副百日咳杆菌、志贺菌属、巴斯德菌属、霍乱弧菌、副溶血性弧菌、类志贺吡邻单胞菌。对大肠杆菌、肠炎沙门氏菌、伤寒沙门氏菌、肠杆菌属、嗜水性气单胞菌属和克雷白杆菌属的活性不尽相同,需进行敏感性试验。对变形杆菌属、沙雷菌属、摩根菌属和绿脓单胞杆菌通常是耐药的。
厌氧菌:脆弱类杆菌、类杆菌属、产气荚膜杆菌、消化球菌属和消化链球菌属、坏死梭杆菌、痤疮丙酸杆菌。
性传播疾病微生物:沙眼衣原体、梅毒密螺旋体、淋球菌、杜克嗜血杆菌。
其它微生物:包柔螺旋体(Lyme 病原体)、肺炎衣原体,肺炎支原体、人型支原体、脲素脲原体、弯曲菌属、单核细胞增多性李斯德杆菌。
药代动力学
口服本品后,阿奇霉素广泛分布于全身;生物利用度约 37%,2-3 小时血浆浓度达峰。血浆消除半衰期接近于组织消除半衰期,为 2-4 天。老年志愿者(>65 岁)采用 5 日给药疗法后,其 AUC 值稍高于年轻志愿者(<40 岁),但无临床意义,故本品无需剂量调整。
动物试验表明,吞噬细胞中存在高浓度阿奇霉素。试验模型发现,活化吞噬细胞比非活化吞噬细胞释放出更高浓度的阿奇霉素。该动物模型结果说明高浓度的阿奇霉素可被释放到感染部位。
人体药代动力学研究表明,阿奇霉素组织浓度远高于血浆浓度(高出最大血浆浓度的 50 倍),单次给药 500 mg,肺、扁桃体及前列腺等靶组织内浓度高于大多数常见病原体的 MIC90。
每日口服阿奇霉素 600 mg,第 1 天和第 22 天的血药峰浓度分别为 0.33 μg/mL 和 0.55 μg/mL。
约 12% 的静脉给药剂量在 3 天内以原形从尿中排出,且大部分在最初 24 小时内排出。阿奇霉素口服后主要以原形经胆道排出。人胆汁中可见高浓度的阿奇霉素及 10 种代谢物。比较组织的 HPLC 及微生物含量测定的结果,发现代谢产物不具有抗菌活性。
轻、中度肾功能不全(肾小球滤过率为 10-80 mL/min)患者口服阿奇霉素单剂 1 g 后,其药代动力学无明显变化。严重肾功能不全(肾小球滤过率<10 mL/min)患者的药代动力学参数与肾功能正常者相比有统计学上的显著差异,其药时曲线下面积(0 到 120 小时)分别为 8.8 μg.hr/mL 和 11.7 μg.hr/mL,峰浓度分别为 1.0 μg/mL 和 1.6 μg/mL,肾清除率分别为 2.3 mL/min/kg 和 0.2 mL/min/kg。
轻度(A 级)和中度(B 级)肝功能不全患者,其血浆药代动力学与肝功能正常者无明显区别,但这些患者尿中阿奇霉素回收率明显增加,这可能与代谢有关。
毒理研究
遗传毒性:人淋巴细胞试验、小鼠骨髓微核试验和小鼠体外淋巴瘤细胞试验的结果均证实本品无致突变作用。
生殖毒性:大鼠和小鼠的生殖毒性试验均表明,当用药量达产生中等程度的母体毒性的剂量水平(即 200 mg/kg/日,按体表面积计算,约为人用药剂量 500 mg/kg/日的 2-4 倍)时,未发现致畸胎作用。
尚未发现对生育力和胎儿的损害。
致癌性:尚无有关本品动物长期使用的致癌性研究资料。
在动物中进行的大剂量药物耐受试验发现,当阿奇霉素的给药浓度为临床所用剂量的 40 倍时,可引起可逆性磷脂沉积症,但通常不会产生观察得到的毒理反应。目前尚无证据表明人类应用正常剂量的阿奇霉素时会发生类似事件。
上市许可持有人
生产企业
上海现代制药股份有限公司
 
                             
                         
                             
               
                             
                         赣公网安备36020002000448号
 赣公网安备36020002000448号