Amlodipine Besylate Tablets
请仔细阅读说明书并在医生的指导下使用
核准日期:2009年4月15日|修改日期:2022年4月18日
成份
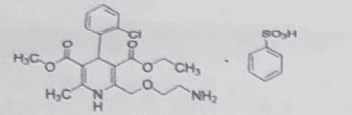
本品主要成份为苯磺酸氨氯地平,其化学名称为:(±)-2-[(2-氨基乙氧基)甲基]4-(2-氯苯基)1,4-二氢-6-甲基-3,5-吡啶二羧酸-5-甲酯,3-乙酯苯磺酸盐。
化学结构式为:

分子式:C20H25ClN2O5·C6H6O3S
分子量:567.05
规格
5 mg(按 C20H25ClN2O5计)
适应症
1. 高血压
本品适用于高血压的治疗。本品可单独应用或与其他抗高血压药物联合应用。
高血压的控制是心血管风险综合管理的一部分,综合管理措施可能需要包括:血脂控制、糖尿病管理、抗血栓治疗、戒烟、体育锻炼和限制钠盐摄入。
收缩压或舒张压的升高均增高心血管风险。在更高的基础血压水平上,每 mm 汞柱血压的升高所带来的绝对风险增加会更高。降低血压获得风险降低的相对程度在有不同心血管绝对风险的人群中是相似的。严重高血压患者,略微降低血压就能带来较大的临床获益。
对成人高血压患者,通常而言,降低血压可降低心血管事件的风险,主要是卒中、以及心肌梗死的风险。
2. 冠心病
慢性稳定性心绞痛
本品适用于慢性稳定性心绞痛的对症治疗。可单独应用或与其他抗心绞痛药物联合应用。
血管痉挛性心绞痛(Prinzmetal’s 或变异型心绞痛)
本品适用于确诊或可疑的血管痉挛性心绞痛的治疗。可单独应用也可与其他抗心绞痛药物联合应用。
经血管造影证实的冠心病
经血管造影证实为冠心病,但射血分数 ≥ 40% 且无心力衰竭的患者,本品可减少因心绞痛住院的风险以及降低冠状动脉重建术的风险。
用法用量
成人
通常本品治疗高血压的起始剂量为 5 mg,每日一次,最大剂量为 10 mg,每日一次。
身材小、虚弱、老年、或伴肝功能不全患者,起始剂量为 2.5 mg,每日一次;此剂量也可为本品联合其它抗高血压药物治疗的剂量。
剂量调整应根据患者个体反应及目标血压进行。一般应在调整调整步骤之前等待 7-14 天。如临床需要,在对患者进行严密监测的情况下,也可以快速地进行剂量调整。
治疗慢性稳定性或血管痉挛性心绞痛的推荐剂量是 5-10 mg,每日一次,老年及肝功能不全的患者建议使用较低剂量治疗,大多数患者的有效剂量为 10 mg,每日一次。
治疗冠心病的推荐剂量为 5-10 mg,每日一次。在临床研究中,大多数患者需要 10 mg/日的剂量。
禁忌
对氨氯地平及本品任何成分过敏者禁用。
注意事项
1. 低血压
症状性低血压可能发生,特别是在严重的主动脉狭窄患者中。因本品的扩血管作用是逐渐产生的,服用本品后发生急性低血压的情况罕有报道。
2. 心绞痛加重或心肌梗死
极少数患者,特别是伴有严重冠状动脉阻塞性疾病的患者,在开始使用苯磺酸氨氯地平治疗或增加剂量时,可出现心绞痛恶化或发生急性心肌梗死。
3. 肝功能受损病人的使用
因本品通过肝脏大量代谢,并且肝功能不全患者的血浆清除半衰期(t1/2)为 56 小时,因此本品用于重度肝功能不全患者时应缓慢增量。
药理作用
氨氯地平是一种二氢吡啶钙拮抗剂(亦称钙离子拮抗剂或慢通道阻滞剂),能够抑制钙离子跨膜进入血管平滑肌和心肌。实验数据表明氨氯地平与二氢吡啶及非二氢吡啶的结合位点均可结合。心肌和血管平滑肌的收缩过程依赖于细胞外钙离子通过离子通道进入细胞内来完成。氨氯地平可选择性抑制钙离子跨膜转运,对血管平滑肌细胞的作用要比心肌细胞的作用强。体外实验可观察到该药存在负性肌力作用,但临床治疗剂量在活体动物实验中未观察到这一作用。氨氯地平不影响血清钙的浓度。在生理酸碱度范围内,氨氯地平是一种离子化的复合物(pKa = 8.6),通过与钙通道受体在结合位点缓慢地结合/分解实现其逐步起效的作用。
氨氯地平是一个外周动脉血管扩张剂,直接作用于血管平滑肌,从而降低外周血管阻力和血压。
氨氯地平能够缓解心绞痛的具体机制还未完全确定,但考虑与以下因素有关:
劳力型心绞痛:氨氯地平通过降低外周血管阻力(心脏后负荷)使心率-收缩压乘积降低,实现不同运动量级别的心肌需氧量的下降。
血管痉挛性心绞痛:在动物试验和体外人冠状血管试验研究显示氨氯地平可以抑制血管痉挛,恢复冠状动脉以及小动脉的血流灌注,从而适应钙、肾上腺素钾、血清素以及血栓素 A2 异构体的变化。在血管痉挛性(Prinzmetal’s 或变异型)心绞痛中,氨氯地平的作用主要来自于其对冠状动脉痉挛的抑制。
药效学
血液动力学:高血压患者服用治疗剂量的苯磺酸氨氯地平后,可引起血管舒张导致仰卧和站立血压下降。长期给药,血压的下降并不伴随心率或血浆儿茶酚胺浓度的显著变化。在慢性稳定性心绞痛患者的血液动力学研究中发现,快速静脉内给予氨氯地平可降低动脉血压并增加心率,但是在血压正常的心绞痛患者的临床研究中长期口服氨氯地平,对心率或血压并没有显著的影响。
长期口服苯磺酸氨氯地平每日一次,对血压的控制效果至少维持 24 小时。年轻及老年患者的降压效果均与血浆浓度相关。应用氨氯地平血压下降的程度也与治疗前血压升高的程度相关:因此,中度高血压(舒张压 105-114 mmHg)患者的降压效果要比轻度高血压(舒张压 90-104 mmHg)患者强 50%。正常血压受试者的血压并没有显著的临床变化(+1/-2 mmHg)。
肾功能正常的高血压患者,苯磺酸氨氯地平的治疗剂量可导致肾阻力下降,肾小球滤过率增加,以及有效肾血流增加,不影响滤过分数和蛋白尿。
与其他钙离子通道拮抗剂一样,在正常心功能的患者应用苯磺酸氨氯地平治疗后,心脏功能的血液动力学检测在静止和运动(或踏步)时均显示心脏指数有小幅度的增加,且不伴有 dP/dt 或左心室舒张末期压或体积的变化。在血液动力学的研究中,动物或人体应用治疗剂量范围内的苯磺酸氨氯地平,即使是在人体中与β受体阻滞剂联合应用,也均没有出现负性肌力作用。在正常健康人及代偿良好的心衰患者中使用其他具有显著的负性肌力作用的药物也有相似的发现。
电生理学作用:活体动物实验和临床实验中,苯磺酸氨氯地平不影响窦房结或房室传导功能。慢性稳定性心绞痛患者,静脉给药 10 mg,A-H、H-V 传导以及起搏后窦房结恢复时间并没有显著性的改变。β-阻滞剂与苯磺酸氨氯地平联合用药患者亦可观察到类似结果。在高血压或心绞痛患者中有心绞痛患者中联合应用氨氯地平以及β受体阻滞剂的临床研究中,未观察到对心电图参数的不良影响。仅有心绞痛的患者,应用氨氯地平没有改变心电图的传导间期,亦没有增加 AV 传导阻滞。
药代动力学
给予口服苯磺酸氨氯地平治疗剂量后,6-12 小时血药浓度达至高峰,绝对生物利用度约为 64-90%,苯磺酸氨氯地平的生物利用度不受摄入食物的影响。
氨氯地平通过肝脏被广泛(约 90%)代谢为无活性的代谢产物,其他 10% 以原药形式排出,60% 的代谢物经尿液排出,体外研究表明,在高血压患者中,血浆蛋白结合率约为 93%。其血浆清除率为双相性,终末消除半衰期约为 35-50 小时。连续每日给药 7-8 天后,氨氯地平的血药浓度达至稳态。
氨氯地平的药代动力学不受肾功能损害的影响。因此肾功能衰竭患者仍应接受常规初始剂量治疗。
老年患者以及肝功能不全的患者中,氨氯地平的药物清除率减慢,从而导致曲线下面积(AUC)增加约 40-60%,因此可能需要选用较低起始剂量。在中重度心衰患者中也观察到了相似的 AUC 增加。
儿童患者:在 62 名年龄 6 岁到 17 岁的儿童高血压患者中进行了 1.25 mg 至 20 mg 苯磺酸氨氯地平的治疗,体重校正后的药物清除率和分布容积与成年人相似。
药物相互作用
体外数据显示氨氯地平不影响地高辛、苯妥英、华法林或吲哚美辛与人血浆蛋白的结合。
其它药物对氨氯地平的影响
与西咪替丁、镁铝氢氧化物抗酸药、西地那非、葡萄柚汁合用,对氨氯地平的暴露量无影响。
CYP3A 抑制剂
在老年高血压患者中日量 180 mg 地尔硫卓与 5 mg 氨氯地平同服,导致氨氯地平全身暴露量增加 60%。在健康志愿者中与红霉素同服未显著影响氨氯地平全身暴露量。但 CYP3A4 强抑制剂(如酮康唑、克拉霉素)可能会大幅增加氨氯地平血药浓度(见【药物相互作用】)。
氨氯地平对其它药物的影响
合用氨氯地平不改变阿托伐他汀、地高辛、乙醇(酒精)的暴露量,和华法林的凝血原反应时间。
辛伐他汀:多剂量 10 mg 氨氯地平与 80 mg 辛伐他汀合用时,辛伐他汀的暴露量比单独使用辛伐他汀增加了 77%(见【药物相互作用】)
环抱素:一项在肾移植患者(N = 11)中进行的前瞻性研究显示,与氨氯地平同服时环孢素谷浓度水平有平均 40% 的提高(见【药物相互作用】)。
他克莫司:一项 CYP3A5 表达的中国健康志愿者中的前瞻性研究(N=9)表明,相比单独使用他克莫司,和氨氯地平合用增加他克莫司暴露量 2.5-4 倍,在 CYP3A5 非表达者(N = 6)中未观察到这一发现,然而,已报告一位肾移植患者(CYP3A5 非表达者)对肾移植后高血压起始使用氨氯地平,他克莫司血浆暴露量增加 3 倍,导致所需使用的他克莫司剂量减少。不论 CYP3A5 基因型状态,不能排除这些药物相互作用的可能性(见【药物相互作用】)。
毒理研究
遗传毒性:
马来酸氨氯地平在基因或染色体水平的遗传毒性试验结果均为阴性。
生殖毒性:
大鼠(雄性大鼠交配前 64 天起,雌性大鼠交配前 14 天起)经口给予马来酸氨氯地平剂量达 10 mg/kg/天(以氨氯地平计,按体表面积换算,相当于体重为 50 kg 人体最大推荐剂量 10 mg 的 8 倍),未见对生育力的明显影响。妊娠大鼠和兔在各自的主要器官形成时期经口给予马来酸氨氯地平剂量达 10 ng/kg/天(分别约为人最大推荐剂量的 10 倍和 20 倍),未见对胚胎胎仔生长发育的明显影响。然而在大鼠交配前、整个交配和受孕期间经口给予马来酸氨氯地平 10 mg/kg/天,给药 14 天,可见窝数明显减少(大约 50%),宫内死胎数量明显增加(约 5 倍),且显示该剂量水平的马来酸氨氯地平能够延长大鼠的受孕期和分娩期。
致癌性:
小鼠和大鼠掺食法经口给予马来酸氨氯地平 0.5、1.25 和 2.5 mg/kg/日,连续给药 2 年,未见致癌作用,小鼠高剂量大约相当于人最大推荐剂量,大鼠高剂量约为人最大推荐剂量的 2 倍。
上市许可持有人
生产企业
江苏迪赛诺制药有限公司