Tofacitinib Citrate Tablets
请仔细阅读说明书并在医生的指导下使用
核准日期:2017年3月10日|修改日期:2022年10月11日
警告:严重感染、死亡、恶性肿瘤、重大心血管不良事件和血栓形成
严重感染
使用托法替布治疗的患者发生可导致住院或死亡的严重感染的风险增加(见注意事项,不良反应)。
发生这些感染的患者大多数都同时服用了免疫抑制剂,如甲氨蝶呤或皮质类固醇。
如果发生严重感染,应该中断托法替布给药,直至感染得到控制。
报道的感染包括:
· 活动性结核,可能表现为肺部或肺外型。开始托法替布给药之前,应该进行潜伏性结核检测。如果检测结果呈阳性,则应该在开始托法替布用药之前开始结核的治疗。
· 侵袭性真菌感染,包括隐球菌病和肺囊虫病。侵袭性真菌感染的患者可能会表现为播散性疾病而非局部性疾病。
· 细菌、病毒(包括带状疱疹)和其他机会性病原体引起的感染。
在慢性或复发性感染的患者中开始治疗之前,应仔细考虑使用托法替布治疗的风险和获益。
使用托法替布治疗期间和之后应该密切监测所有患者是否出现发生感染的症状和体征,包括开始治疗前潜伏性结核检测结果呈阴性的患者仍可能发生结核感染(见注意事项)。
死亡
在50岁及以上具有至少一项心血管风险因素的类风湿关节炎(RA)患者中开展了一项大型、随机、上市后安全性研究,比较了托法替布5mg每天两次或托法替布10mg每天两次与肿瘤坏死因子(TNF)阻滞剂的安全性,相较于TNF阻滞剂组,观察到托法替布5mg每天两次或托法替布10mg每天两次剂量组的全因死亡(包括心源性猝死)发生率更高(见注意事项)。托法替布10mg每天两次的剂量不应用于类风湿关节炎、银屑病关节炎或强直性脊柱炎。
恶性肿瘤
在接受托法替布和其他Janus激酶(JAK)抑制剂(用于治疗炎症状态)治疗的患者中,观察到产生了包括淋巴瘤和实体瘤在内的恶性肿瘤。在类风湿关节炎患者中,观察到托法替布5mg每天两次或托法替布10mg每天两次治疗组患者的恶性肿瘤(不包括非黑色素瘤皮肤癌[NMSC])发生率高于TNF阻滞剂组(见注意事项)。
在类风湿关节炎患者中,观察到托法替布5mg每天两次或托法替布10mg每天两次治疗组患者的淋巴瘤和肺癌发生率高于TNF阻滞剂治疗组。吸烟患者或既往有吸烟经历的患者面临更高风险。
在使用托法替布和伴随免疫抑制药物治疗的肾移植患者中观察到EB病毒相关的移植后淋巴增生性疾病的发生率增加(见注意事项)。
重大心血管不良事件
对于50岁及以上的具有至少一项心血管风险因素的类风湿关节炎患者,在接受托法替布5mg每天两次或托法替布10mg每天两次治疗后,重大心血管不良事件(MACE)(定义为心源性死亡、心肌梗死和卒中)的发生率高于TNF阻滞剂治疗组。吸烟患者或既往有吸烟经历的患者面临更高风险。如果患者发生心肌梗死或卒中,应停用托法替布(见注意事项)。
血栓形成
在在接受托法替布和其他Janus激酶(JAK)抑制剂(用于治疗炎症状态)治疗的患者中,发生了血栓形成(包括肺栓塞、深静脉血栓形成和动脉血栓形成)。大多数这些事件症状严重,部分导致死亡。50岁及以上的具有至少一个心血管风险因素的类风湿关节炎患者中接受托法替布5mg每天两次或托法替布10mg每天两次治疗,观察到这些事件的发生率高于接受TNF阻滞剂治疗的患者。避免在有风险的患者中使用托法替布。停用托法替布,并立即评估出现血栓形成症状的患者(见注意事项)。
成份
活性成份:枸橼酸托法替布。
化学名称:(3R,4R)-4-甲基-3-(甲基-7 H-吡咯并[2,3-d]嘧啶-4-基氨基)-β-氧代-1-哌啶丙腈枸橼酸盐
化学结构式:

分子式:C16H20N6O·C6H8O7
分子量:504.5
规格
5 mg(以托法替布计)
适应症
类风湿关节炎
托法替布适用于一种或多种 TNF 阻滞剂疗效不足或对其无法耐受的中度至重度活动性类风湿关节炎(RA)成人患者。
使用限制:不建议将托法替布与生物 DMARD 类药物或强效免疫抑制剂(如硫唑嘌呤和环孢霉素)联用。
银屑病关节炎
托法替布适用于对一种或多种改善病情抗风湿药(DMARD)应答不佳或不耐受的活动性银屑病关节炎(PsA)成人患者。本品可与甲氨蝶呤(MTX)联用。
强直性脊柱炎
托法替布适用于一种或多种 TNF 阻滞剂疗效不足或对其无法耐受的活动性强直性脊柱炎(AS)成人患者。
使用限制:不建议将托法替布与生物 DMARD 类药物或强效免疫抑制剂(如硫唑嘌呤和环孢霉素)联用。
用法用量
重要用药说明
· 请勿在淋巴细胞绝对计数低于 500 细胞/mm3、中性粒细胞绝对计数(ANC)低于 1000 细胞/mm3或血红蛋白水平低于 9 g/dL 的患者中开始托法替布用药。
· 出现淋巴细胞减少症、中性粒细胞减少症和贫血症时,建议中断给药(见注意事项,不良反应)。
· 如果患者发生严重感染,在感染得到控制之前应该中断托法替布给药(见注意事项)。
· 托法替布与食物同服或不同服均可。
针对类风湿关节炎、银屑病关节炎和强直性脊柱炎的推荐剂量
表 1 列出了托法替布的成人推荐日剂量和针对接受 CYP2C19 和/或 CYP3A4 抑制剂治疗的;中度或重度肾功能损害(包括但不限于正在接受血液透析的重度肾功能不全患者)或中度肝功能损害;以及伴随有淋巴细胞减少症、中性粒细胞减少症或贫血症患者的剂量调整。

* 不建议重度肝功能损害患者使用托法替布。
禁忌
无
注意事项
严重感染
在接受托法替布治疗的患者中曾报道过细菌、分枝杆菌、侵袭性真菌、病毒或其他机会致病菌引起的严重感染,偶有致死性感染。随托法替布报告的最常见严重感染包括肺炎、蜂窝组织炎、带状疱疹、泌尿道感染、憩室炎和阑尾炎。在机会性感染中,随托法替布报告的有结核和其他分枝杆菌感染、隐球菌病、组织胞浆菌病、食道念珠菌感染、肺囊虫病、多发性皮肤带状疱疹、巨细胞病毒感染、BK 病毒感染以及李氏杆菌病。有些患者表现为播散性感染,而非局部性疾病,并且往往同时服用了免疫抑制剂,如甲氨蝶呤或皮质类固醇。
也可能发生临床研究中没有报道的其他严重感染(例如,球孢子菌病)。
避免在严重活动性感染患者,包括局部感染患者中开始托法替布用药。在以下患者中开始托法替布用药之前应该考虑治疗的风险和获益:
患有慢性或复发性感染
曾有结核病接触史
具有严重或机会性感染史
曾在结核病或分枝杆菌流行地区居住或旅游
患有可能使其易于受感染的基础病症
使用托法替布治疗期间和之后应该密切监测所有患者是否出现发生感染的症状和体征。如果患者出现严重感染、机会性感染或脓毒症,应该中断托法替布给药。使用托法替布治疗期间发生新发感染的患者应该进行适用于免疫功能低下患者的及时和完整的诊断性检测:应该开始适当的抗菌治疗,并且对患者进行密切监测。
也建议有慢性肺部疾病史或患有间质性肺疾病的患者慎用,因为这些患者更容易发生感染。
感染风险可能随着淋巴细胞减少程度的增加而增加,在评估个体患者感染风险时应考虑淋巴细胞计数。针对淋巴细胞减少症,建议根据【用法用量】项下淋巴细胞计数标准停药和进行监测。
结核病
开始托法替布给药之前以及给药期间,应该根据适用的指南,对患者进行潜伏性或活动性感染的评价和检测。
在具有潜伏性或活动性结核病既往病史的患者中开始进行托法替布给药之前,还应该考虑进行抗结核治疗,在这些患者中,不能确认一个充分疗程,并且虽然患者的潜伏性结核病检测结果呈阴性,但仍存在结核病感染的风险因素。建议咨询结核病治疗专科医生,以便帮助决定针对某一患者个体开始抗结核治疗是否适当。
应该密切监测患者是否出现结核病的症状和体征,包括开始治疗前潜伏性结核感染检测结果呈阴性的患者。
在托法替布给药之前,应该使用标准的抗分枝杆菌疗法对潜伏性结核病患者进行治疗。
病毒再激活
在托法替布的临床研究中观察到了病毒再激活现象,包括疱疹病毒再激活病例(如带状疱疹)。在接受托法替布治疗的患者中已报告乙型肝炎再激活的上市后病例。尚未明确托法替布对慢性病毒性肝炎再激活的影响,临床试验中排除了乙型或丙型肝炎筛查结果呈阳性的患者。在开始托法替布治疗之前,应根据临床指导原则进行病毒性肝炎筛查。在接受托法替布治疗的患者中,带状疱疹风险会升高,且在接受托法替布治疗的日本和韩国患者中风险似乎更高。
死亡
在一项大型、随机、上市后安全性研究(RA 安全性研究 1)中,观察到接受托法替布 5 mg 每天两次或托法替布 10 mg 每天两次治疗的 50 岁及以上的具有至少一个心血管风险因素的类风湿关节炎患者的全因死亡率(包括心源性猝死)高于接受 TNF 阻滞剂治疗的患者。在托法替布 5 mg 每天两次、托法替布 10 mg 每天两次和 TNF 阻滞剂治疗组中,每 100 患者年的全因死亡发生率分别为 0.88、1.23 和 0.69(见临床试验)。在开始或继续使用托法替布治疗前,应考虑个体患者的获益与风险。
托法替布 10 mg 每天两次不应用于类风湿关节炎或强直性脊柱炎。
恶性肿瘤及淋巴增生性疾病
在托法替布的临床研究中观察到了恶性肿瘤,包括淋巴瘤和实体瘤(见不良反应)。
在 RA 安全性研究 1 中,观察到托法替布 5 mg 每天两次或托法替布 10 mg 每天两次治疗组患者的恶性肿瘤(不包括 NMSC)发生率高于 TNF 阻滞剂组。在托法替布 5 mg 每天两次、托法替布 10 mg 每天两次和 TNF 阻滞剂治疗组中,每 100 患者年的恶性肿瘤(不包括 NMSC)发生率分别为 1.13、1.13 和 0.77。吸烟患者或既往有吸烟经历的患者面临更高风险(见临床试验)。
在托法替布 5 mg 每天两次和托法替布 10 mg 每天两次治疗组患者中,观察到淋巴瘤和肺癌(RA 安全性研究 1 中所有恶性肿瘤事件的子集)发生率高于 TNF 阻滞剂治疗组。每 100 患者年的淋巴瘤发生率分别为 0.07(托法替布 5 mg 每天两次)、0.11(托法替布 10 mg 每天两次)和 0.02(TNF 阻滞剂)。吸烟患者或既往有吸烟经历的患者中,每 100 患者年的肺癌发生率分别为 0.48(托法替布 5 mg 每天两次)、0.59(托法替布 10 mg 每天两次)和 0.27(TNF 阴滞剂)(见临床试验)。
在开始或继续使用托法替布治疗前,应考虑个体患者的获益与风险,特别是在已知具有恶性肿瘤(不包括已成功治愈的 NMSC)、在治疗期间发生恶性肿瘤以及吸烟患者或既往有吸烟经历的患者中。托法替布 10 mg 每天两次不应用于类风湿关节炎、银屑病关节炎或强直性脊柱炎。
在两项 AS 的安慰剂对照临床研究中,420 例接受托法替布联用或不联用非生物制剂 DMARD 治疗长达 48 周的患者中有 0 例患恶性肿瘤(不包括 NMSC),187 例接受安慰剂联用或不联用非生物制剂 DMARD 治疗长达 16 周的患者中有 0 例患恶性肿瘤。
2 期 B 阶段,在首次进行肾移植的患者中展开了对照型剂量范围研究,所有患者都接受了巴利昔单抗诱导治疗、高剂量皮质激素以及霉酚酸类药品,在 218 例使用托法替布治疗的患者中观察到 5 例(2.3%)EB 病毒相关性移植后淋巴增生性疾病,而 111 例环孢霉素治疗组患者中为 0 例。
在临床研究和上市后中观察到其他恶性肿瘤,包括但不限于肺癌、乳腺癌、黑色素瘤、前列腺癌和胰腺癌。
非黑色素瘤皮肤癌
在接受托法替布治疗的患者中已有非黑色素瘤皮肤癌(NMSC)的报告。建议对皮肤癌风险增高的患者进行定期的皮肤检查。
重大心血管不良事件
在 RA 安全性研究 1 中,50 岁及以上的具有至少一项心血管风险因素的类风湿关节炎患者在接受托法替布 5 mg 每天两次或托法替布 10 mg 每天两次治疗后,重大心血管不良事件(MACE),(定义为心源性死亡、非致命性心肌梗死[M1]和非致命性卒中)的发生率高于 TNF 阻滞剂治疗组。每 100 患者年的 MACE 发生率分别为 0.91(托法替布 5 mg 每天两次)、1.11(托法替布 10 mg 每天两次)和 0.79(TNF 阻滞剂)。每 100 患者年的致命性或非致命性心肌梗死发生率分别为 0.36(托法替布 5 mg 每天两次)、0.39(托法替布 10 mg 每天两次)和 0.20(TNF 阻滞剂)(见临床试验)。吸烟患者或既往有吸烟经历的患者面临更高风险。
在开始或继续使用托法替布治疗前,应考虑个体患者的获益和风险,特别是在吸烟患者或既往有吸烟经历的患者中,以及具有其他心血管风险因素患者中。应告知患者严重心血管事件的症状及其应对措施。如果患者发生心肌梗死或卒中,应停用托法替布。托法替布 10 mg 每天两次不应用于类风湿关节炎、银屑病关节炎或强直性脊柱炎。
血栓形成
在接受托法替布和其他 Janus 激酶(JAK)抑制剂(用于治疗炎症状态)治疗的患者中,发生了血栓形成(包括肺栓塞(PE)、深静脉血栓形成(DVT)和动脉血栓形成)。大多数这些事件症状严重,部分导致死亡(见注意事项)。
在 RA 安全性研究 1 中,50 岁及以上的具有至少一个心血管风险因素的类风湿关节炎患者中接受托法替布 5 mg 每天两次或托法替布 10 mg 每天两次治疗,观察到这些事件的发生率高于接受 TNF 阻滞剂治疗的患者。每 100 患者年的 DVT 发生率分别为 0.22(托法替布 5 mg 每天两次)、0.28(托法替布 10 mg 每天两次)和 0.16(TNF 阻滞剂)。每 100 患者年的 PE 发生率分别为 0.18(托法替布 5 mg 每天两次)、0.49(托法替布 10 mg 每天两次)和 0.05(TNF 阻滞剂)(见临床试验)。
托法替布 10 mg 每天两次不应用于类风湿关节炎、银屑病关节炎或强直性脊柱炎。
立即评估有血栓形成症状的患者,并在出现血栓形成症状的患者中停用托法替布。
应避免将托法替布用于血栓形成风险可能增加的患者。
胃肠道穿孔
托法替布的临床研究中已报道了胃肠道穿孔事件,但 JAK 抑制作用在这些事件中所起的作用不明。在这些研究中,许多类风湿关节炎患者正在接受非甾体类抗炎药物(NSAID)背景治疗。
胃肠道穿孔风险可能增加的患者(例如,具有憩室炎病史或正在接受 NSAID 的患者)应该慎用托法替布。应该对新发腹部症状的患者及时进行评价,以便及早识别胃肠道穿孔(见不良反应)。
超敏反应
在接受托法替布治疗的患者中已观察到可能反映药物性超敏反应的血管性水肿和荨麻疹等反应。部分为严重事件。如果发生严重超敏反应,应立即停用托法替布,同时评估可能的诱因或引起反应的原因(见不良反应)。
实验室检查异常
淋巴细胞异常
在 12 个月的治疗期间,在药物暴露一个月时,出现托法替布治疗相关性初始淋巴细胞增多,随后逐渐下降,平均绝对淋巴细胞计数大约比基线低 10%。淋巴细胞计数低于 500 细胞/mm3时引起严重感染的发生率增加。
避免在淋巴细胞计数低(即低于 500 细胞/mm3)的患者中开始托法替布治疗。在发生确定性淋巴细胞绝对计数低于 500 细胞/mm3的患者中,不建议使用托法替布治疗。
在基线时以及之后每 3 个月对淋巴细胞计数监测一次,基干淋巴细胞计数建议的剂量调整参见用法用量。
中性粒细胞减少症
与安慰剂相比,托法替布治疗与中性粒细胞减少症(低于 2000 细胞/mm3)的发生率增加有关。
避免在中性粒细胞计数低(即 ANC 低于 1000 细胞/mm3)的患者中开始托法替布治疗。对于出现 ANC 持续处于 500-1000 细胞/mm3的患者,中断托法替布给药直至 ANG 大于或等于 1000 细胞/mm³。在出现 ANC 小于 500 细胞/mm3的患者中,不推荐使用托法替布治疗。
在基线时以及治疗 4-8 周后监测中性粒细胞计数,此后每 3 个月监测一次。基于 ANC 结果建议的剂量调整参见用法用量。
贫血
避免在血红蛋白水平低(即低于 9 g/dL)的患者中开始托法替布治疗。在治疗时出现血红蛋白水平低于 8 g/dL 或血红蛋白水平降幅大于 2 g/dL 的患者中,应该中断托法替布治疗。
在基线时以及治疗 4-8 周后监测血红蛋白,此后每 3 个月监测一次。基于血红蛋白结果建议的剂量调整参见用法用量。
肝酶升高
与安慰剂组相比,托法替布治疗与肝酶升高的发生率上升有关。这些异常大多数出现于使用 DMARD(主要是甲氨蝶呤)为背景治疗的研究项目中。
建议对肝功能检查项目进行常规监测,迅速调查肝酶升高的原因,以识别潜在的药物性肝损伤病例。如果怀疑出现药物性肝损伤,则应中断托法替布给药直至排除此诊断结果。
血脂升高
托法替布治疗与血脂参数的升高呈剂量依赖性,包括总胆固醇、低密度脂蛋白(LDL)胆固醇和高密度脂蛋白(HDL)胆固醇。一般在 6 周内观察到最大影响。LDL/HDL 胆固醇比值无临床相关变化。这些血脂参数升高对心血管疾病发病率和死亡率的影响尚未确定。
应该在开始托法替布治疗约 4-8 周后进行血脂参数的评估。
根据临床指导原则对患者进行高脂血症管理。
疫苗接种
避免活疫苗接种与托法替布给药同时进行。活疫苗接种和托法替布治疗开始之间的间隔应符合目前关于免疫抑制药物的疫苗接种指南。
一例患者在接种减毒活疫苗(Zostavax)16 天后,开始托法替布(5 mg,每天两次)治疗 2 天后发生了水痘带状疱疹病毒疫苗株感染。该患者未接触过水痘病毒,因为该患者在基线检查时没有既往水痘感染史和没有抗水痘抗体。患者在停用托法替布并使用标准剂量的抗病毒药物治疗后恢复。
在开始托法替布治疗之前,要依照现行的免疫指导原则进行免疫接种。
糖尿病患者用药
由于糖尿病患者人群中的感染发生率通常较高,因此治疗糖尿病患者时应谨慎。
肾功能损害
中度和重度损害
与接受托法替布治疗的肾功能正常患者相比,接受托法替布治疗的中度和重度肾功能损害患者的托法替布血药浓度更高。因此在中度或重度肾功能损害患者(包括但不限于正在接受血液透析的重度肾功能不全患者)中,建议调整托法替布剂量(见用法用量)。
轻度损害
轻度肾功能损害患者不需要调整剂量。
肝功能损害
重度损害
尚未在重度肝功能损害患者中研究托法替布;因此,不建议重度肝功能损害患者使用托法替布。
中度损害
与接受托法替布治疗的肝功能正常患者相比,接受托法替布治疗的中度肝功能损害患者的托法替布血药浓度更高(见药代动力学)。升高的血药浓度可能会增加某些不良反应的风险。因此,在中度肝功能损害患者中,建议调整托法替布剂量(见用法用量)。
轻度损害
轻度肝功能损害患者不需要调整托法替布的剂量。
乙型或丙型肝炎血清学
尚未在乙型肝炎病毒或丙型肝炎病毒血清学检查结果呈阳性的患者中研究托法替布的安全性和有效性。
药理作用
托法替布是一种 Janus 激酶(JAK)抑制剂。JAK 属于胞内酶,可传导细胞膜上的细胞因子或生长因子-受体相互作用所产生的信号,从而影响细胞造血过程和细胞免疫功能。在该信号转导通路内,JAK 磷酸化并激活信号转导因子和转录激活因子(STAT)从而调节包括基因表达在内的细胞内活动。托法替布在 JAK 这一点对该信号转导通路进行调节,防止 STAT 磷酸化和激活 JAK 酶通过配对 JAK(如,JAK1/JAK3,JAK1/JAK2,JAK1/TyK2,JAK2/JAK2)传递细胞因子信号。托法替布抑制 JAK1/JAK2,JAK1/JAK3 和 JAK2/JAK2 组合酶的体外活性,IC50分别为 406、56 和 1377nM。但特定 JAK 组合酶与治疗有效性的相关性尚未明确。
药代动力学
托法替布口服给药后,在 0.5-1 小时内达到血浆药物浓度峰值,清除半衰期约为 3 小时,在治疗剂量范围内观察到全身暴露量与剂量成比例增加。每天两次给药后,在 24-48 小时内达到稳态浓度,药物蓄积可以忽略不计。
吸收
托法替布的绝对口服生物利用度为 74%。托法替布与高脂肪饮食合用时,AUC 没有变化,而 Cmax降低了 32%。在临床试验中,托法替布给药不受食物影响(见用法用量)。
分布
静脉给药后的分布容积为 87L。托法替布的蛋白结合率约为 40%。托法替布主要与白蛋白结合,看起来不与α1 酸性糖蛋白结合托法替布在红细胞和血浆之间均匀分布。
代谢和排泄
托法替布的清除机制为,约 70% 肝脏代谢,30% 的母体药物经肾脏排泄,托法替布的代谢主要由 CYP3A4 介导,同时 CYP2C19 有少量贡献。在人体放射性标记研究中,原型托法替布占总循环放射性的 65% 以上,余下的 35% 归因于 8 个代谢产物,各占不到 8% 的总放射性。托法替布的药理活性是母体分子引起的。
患者人群中药代动力学特点
群体药代动力学表明,类风湿关节炎、银屑病关节炎和强直性脊柱炎患者间的药代动力学特点相似。托法替布 AUC 的变异系数(%)在患不同疾病的患者间整体相似,范围为 22% 至 34%(表 16)。

a 药代动力学参数基于群体药代动力学分析估算。
特殊人群
考虑到患者之间的肾功能差异(即,肌酐清除率),根据年龄、体重、性别和种族,患者人群中作为群体药代一部分的协变量评价表明,没有临床相关性托法替布暴露量变化(图 4)。观察到体重和分布容积之间的关系大致呈线性,导致体重较轻的患者中的浓度峰值(Cmax)较高而浓度谷值(Cmin)较低。然而,这种差异不认为具有临床相关性。
托法替布的肾和肝功能损害及其他内在因素对托法替布药代动力学的影响如图 4 所示。

a RA, PsA 和 AS 中的剂量调整(见用法用量)。
在通过血液透析维持的 ESRD 受试者中,平均 AUC 较既往的健康受试者数据高出约 40%,这与托法替布的肾脏清除率约占总清除率的 30% 的情况相符。在通过血液透析维持的 ESRD 患者中推荐剂量调整(关于 RA 和 AS 患者的剂量调整,参见用法用量)。
药物相互作用
托法替布影响其他药物药代的可能性
体外研究表明,在 10 mg 每天给药两次的剂量下,浓度相当于稳态 Cmax时,托法替布不能显著性抑制或诱导主要的人体药物代谢 CYP 酶类(CYP1A2,CYP2B6,CYP2C8,CYP2C9,CYP2C19,CYP2D6 和 CYP3A4)的活性。这些体外实验结果通过一项人体药物相互作用研究得到了证实,该项研究显示,与托法替布合用时,咪达唑仑(一种高度缴感的 CYP3A4 底物)的药代动力学没有变化。
体外研究表明,在 10 mg 每天给药两次的剂量下,浓度超过 250 倍稳态 Cmax时,托法替布不能显著性抑制主要的人体药物代谢尿苷 5′-二磷酸葡糖醛酸转移酿(UGT) [UGT1A1、UGT1A4、UGT1A6、UGT1A9 和 UGT2B7]的活性。
在类风湿关节炎患者中,托法替布的口服清除率不随时间变化,表明托法替布不会使类风湿关节炎患者中的 CYP 酶活性正常化。因此,与托法替布联合用药预期不会在类风湿关节炎患者中导致 CYP 底物的代谢出现临床相关性增加。
体外数据表明,在治疗浓度下,托法替布抑制转运体,如 P-糖蛋白、有机阴离子或阳离子转运体的可能性低。
托法替布给药后,合并用药的推荐药物如图 5 所示。

MATE=多药和有毒化合物排泄
其他药物影响托法替布药代动力学的可能性
由于托法替布由 CYP3A4 代谢,故而可能与抑制或透导 CYP3A4 的药物发生相互作用。单独 CYP2C19 抑制剂成 P-糖蛋白抑制剂不太可能大幅改变托法替布的药代动力学(见图 6)。

a (见用法用量,药物相互作用)。
临床试验
类风湿关节炎
托法替布临床开发项目包括四项验证性试验。虽然已对其他剂量进行了研究,但托法替布的推荐剂量为 5 mg,每天两次。托法替布 10 mg 每天两次不应用于类风湿关节炎或强直性脊柱炎。
验证性试验
研究 RA-I 是一项为期 12 个月的试验,其中 792 例非生物制剂 DMARD 疗效不足的中度至重度活动性类风湿关节炎患者在背景 DMARD 治疗(不包括强效免疫抑制治疗,如硫唑嘌呤或环孢菌素)的基础上联合托法替布 5 或 10 mg 每天两次给药,或安慰剂给药。在第 3 个月的访视中,所有无应答反应的患者都以盲法方式进入到第二阶段的预定治疗,即托法替布 5 或 10 mg,每天两次。在第 6 个月结束时,所有安慰剂组的患者都以盲法方式进入到第二阶段的预定治疗。主要终点是在第 6 个月达到 ACR20 疗效反应、第 3 个月时 HAQ-DI 变化以及第 6 个月 DAS28-4(ESR)比率小于 2.6 的患者比例。
研究 RA-II 是一项在 717 例 MTX 治疗效应不足的中度至重度活动性类风湿关节炎患者中进行的为期 12 个月的试验。患者在背景 MTX 治疗的基础上联合托法替布 5 或 10 mg 给药,每天两次,阿达木单抗 40 mg 皮下注射,每隔一周一次,或安慰剂。安慰剂组患者按研究 I 的方式进行。主要终点是第 6 个月时达到 ACR20 疗效反应、第 3 个月时 HAQ-DI,第 6 个月时 DAS28-4(ESR)低于 2.6 的患者比例。
研究 RA-III 是一项为期 2 年,在第 1 年进行了一次计划性分析,其中 797 例 MTX 疗效不足的中度至重度活动性类风湿关节炎患者在背景 MTX 治疗的基础上加用托法替布 5 或 10 mg,每天两次,或安慰剂给药。安慰剂组患者按研究 I 的方式推进。主要终点是第 6 个月达到 ACR20 疗效反应、第 6 个月 van der Heijde 改良的总 Sharp 评分(mTSS)与基线平均差、第 3 个月的 HAQ-DI 以及第 6 个月 DAS28-4(ESR)低于 2.6 的患者比例。
研究 RA-IV 是一项为期 6 个月的试验,其中 399 例对至少一种批准上市的 TNF-阻滞性生物制剂反应不足的中度至重度活动性类风湿关节炎患者在背景 MTX 治疗的基础上联合托法替布 5 或 10 mg,每天两次,或安慰剂给药。在第 3 个月的访视中,所有随机接受安慰剂治疗的患者都以盲法方式进入到第二阶段的预定治疗,即托法替布 5 或 10 mg,每天两次。主要终点是第 3 个月达到 ACR20 疗效反应、HAQ-DI 以及 DAS28-4(ESR)低于 2.6 的患者比例。
临床应答率
研究 RA-III 和 RA-IV 中实现 ACR20、ACR50、ACR70 应答的托法替布治疗组患者百分比如表 4 所示。研究 RA-I 和 RA-II 的结果相似。在 RA-I 至 IV 试验中,患者使用托法替布 5 mg 每天两次治疗。在联用/不联用背景 DMARD 治疗的情况下,第 3 个月和第 6 个月时,与安慰剂相比,具有更高的 ACR20、ACR50、ACR70 应答率。在 2 周内即观察到了高于安慰剂组的 ACR20 反应率。在为期 12 个月的试验中,在 6 个月和 12 个月时,托法替布治疗组患者的 ACR 反应率一致。

b NA:不适用,研究 IV 中因为安慰剂组的推进,导致没有 3 个月之后的安慰剂治疗的数据。
c MTX 反应不足,定义为存在的剩余疾病活动性足以满足入选标准。
d 至少一种肿瘤坏死因子阻滞剂因为缺乏有效性和/或不能耐受而反应不足。
在研究 RA-III 中,第 6 个月时,与单独 MTX 治疗相比,使用托法替布 5 mg 每天两次加 MTX 治疗的患者实现疾病缓解的比例更大,指标为 DAS28-4(ESR)小于 2.6(表 5)。

研究 RA-III 的 ACR 反应标准组成要素的结果如表 6 所示。在研究 RA-I、II 和 IV 中观察到的托法替布结果类似。

b 视觉模报评分:0 = 最好,100 = 最差。
c 健康评估问卷残疾指数:0 = 最好,3 = 最差;20 个问题;类别:穿衣和梳洗,起立,吃饭,走路,卫生,达到,抓握和活动。
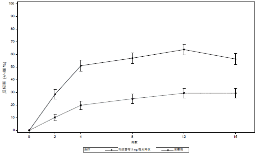
按访视次数给出的研究 RA-III 中的 ACR20 反应的百分比如图 1 所示。在研究 RA-I、II 和 IV 中观察到的托法替布反应情况类似。

放射影像反应
两项研究评估了托法替布对关节结构性损伤的作用。在研究 RA-III 中,关节结构性损伤的进展采用放射影像评估,并以第 6 和 12 个月时 mTSS 及其组成部分(即侵蚀评分和关节间隙狭窄评分)相对于基线的变化表示。研究还对无放射影像进展(mTSS 变化小于或等于 0)的患者比例进行了评估。
在研究 RA-III 中,托法替布 5 mg 每天两次的剂量给药时,减轻了结构性损伤平均进展方面(没有统计学意义)。这些结果见表 7。侵蚀评分和关节间隙狭窄评分分析结果与总体结果一致。
在安慰剂加 MTX 组中,74% 的患者在第 6 个月时无放射影像进展,与之相比,托法替布 5 mg 每天两次加 MTX 组中有 84% 的患者放射影像无进展。

b 托法替布减安慰剂或 MTX 最小二乘均数差值(95%CI = 95% 置信区间)
c 第 6 和 12 个月的数据为相对于基线的平均变化。
身体功能缓解
通过 HAQ-DI 衡量的身体功能改善情况。接受 5 mg 每天两次托法替布的患者证明第 3 个月时,与安慰剂相比,身体功能自基线的改善程度较大。
研究 RA-II 中,第 3 个月时 HAQ-DI 自基线的改善与安慰剂组的平均差异(95%Cl),在每天两次 5 mg 托法替布治疗组患者中为-0.22(-0.35,-0.10)。研究 RA-I、III 和 IV 中得到的结果相似。在 12 个月的试验中,第 6 和 12 个月时,托法替布治疗组患者中的 HAQ-DI 结果一致。
其他健康相关结果
总体健康状况采用健康调查简表(SF-36)进行评估。在研究 RA-III 和 RA-IV 中,与安慰剂组相比,接受托法替布 5 mg 每天两次的患者在第 3 个月时的躯体健康总评(PCS)、精神健康总评(MCS)以及 SF-36 的所有 8 个领域相对于基线均表现出较大的改善。
银屑病关节炎
评估托法替布疗效和安全性的临床开发项目包括在 816 例 18 岁及以上患者中进行的 2 项多中心、随机、双盲、安慰剂对照验证性试验(PsA-I 和 PsA-II)。尽管也研究了其他剂量,但托法替布的推荐剂量为 5 mg 每天两次。托法替布 10 mg 每天两次不应用
于银屑病关节炎的治疗。所有患者均有至少 6 个月的活动性银屑病关节炎病史(基于银屑病关节炎的分类标准[CASPAR])、至少 3 处压痛/疼痛关节和至少 3 处肿胀关节及活动性斑块型银屑病。2 项临床试验中接受随机化和治疗的患者在筛选时表现出不同的银
屑病关节炎亚型,包括<5 处关节或不对称性受累(21%)、 ≥ 5 处关节累计(90%)、远端指间(DIP)关节受累(61%)、残毁性关节炎(8%)和脊椎炎(19%)。这些临床试验中的患者有平均(SD)7.7(7.2)年的银屑病关节炎诊断。80% 和 53% 的患者分别有基线肌腱附着点炎和指(趾)炎。所有患者均需在基线时接受稳定剂量的非生物 DMARD 治疗(79% 接受甲氨蝶呤,13% 接受柳氮磺胺吡啶,7% 接受来氟米特,1% 接受其他非生物 DMARD)。两项临床试验的主要终点均为第 3 个月时的 ACR20 反应和 HAQ-DI 较基线的变化。
研究 PsA-I 是一项为期 12 个月的临床试验,其中入组了 422 例对非生物 DMARD 反应不足(67% 和 33% 的患者分别对 1 种非生物 DMARD 和 2 种及以上非生物 DMARD 反应不足)和未接受过 TNF 阻断剂治疗的患者。以 2:2:2:1:1 的比例使患者分别随机分配接受托法替布 5 mg 每天两次、托法替布 10 mg 每天两次、阿达木单抗 40 mg 皮下给药每两周一次、安慰剂至托法替布 5 mg 每天两次治疗序列或安慰剂至托法替布 10 mg 每天两次治疗序列;将研究药物添加至非生物 DMARD 背景治疗中。第 3 个月访视时,随机分配至安慰剂组的所有患者均以盲态进入预先确定的托法替布 5 mg 或 10 mg 每天两次治疗。研究 PsA-I 并未设计用于证实托法替布相比于阿达木单抗的非劣效性或优效性。
研究 PsA-II 是一项为期 6 个月的临床试验,其中入组了 394 例对至少 1 种获批 TNF 阻断剂反应不足的患者(66%、19% 和 15% 的患者分别对 1 种、2 种和 3 种及以上 TNF 阻断剂反应不足)。以 2:2:1:1 的比例使患者分别随机分配接受托法替布 5 mg 每天两次、托法替布 10 mg 每天两次、安慰剂至托法替布 5 mg 每天两次治疗序列或安慰剂至托法替布 10 mg 每天两次治疗序列;将研究药物添加至背景非生物 DMARD 治疗中。第 3 个月访视时,安慰剂组患者均以盲态进入预先确定的托法替布 5 mg 或 10 mg 每天两次治疗(与研究 PsA-I 一致)。
临床应答率
第 3 个月时,与安慰剂相比,研究 PsA-I 中接受托法替布 5 mg 每天两次治疗的患者具有更高的 ACR20、ACR50、ACR70 应答率(p ≤ 0.05),研究 PsA-II 中接受托法替布 5 mg 每天两次治疗的患者具有更高的 ACR20 和 ACR50 应答率(p ≤ 0.05);研究 PsA-II
中,托法替布 5 mg 每天两次组的 ACR70 应答率也高于安慰剂组,但与安慰剂相比的差异没有统计学意义(p>0.05)(表 8 和表 9)。

* 受试者接受 1 种合并非生物 DMARD。
a N 为随机分组且接受治疗的患者人数。

* 受试者接受 1 种合并非生物 DMARD。
a N 为随机分组且接受治疗的患者人数。
两项研究中 ACR 反应标准组成要素较基线的改善见表 10。


a 所示数据为基线和第 3 个月时的平均值。
b 视觉模拟评分(VAS):0=最好,100=最差。
c HAQ-DI = 健康评估问卷残疾指数:0=最好,3=最差;20 个问题;类别:穿衣和梳洗,起立,吃饭,走路,卫生,伸手,抓握和活动。
按访视给出的研究 PsA-I 中的 ACR20 应答者百分比如图 2 所示。在研究 PsA-II 中观察到相似的反应。两项研究均在基线后首次访视时(第 2 周)观察到托法替布对 ACR20 反应的改善。

将数据缺失的受试者处理为无应答者。
* 受试者接受 1 种合并非生物 DMARD。
活动性银屑病关节炎患者接受托法替布治疗后观察到肌腱附着点炎和指(趾)炎的获益证据。
身体功能
通过 HAQ-DI 衡量身体功能改善情况。接受 5 mg 每天两次托法替布的患者证明第 3 个月时,与安慰剂相比,身体功能较基线的改善程度明显较大(p ≤ 0.05)(表 11)。

a N 为统计分析中的受试者总人数。
b 因缺乏疗效和/或不能耐受而对至少 1 种非生物 DMARD 反应不足。
c 因缺乏疗效和/或不能耐受而对至少 1 种 TNF 阻断剂反应不足。
在研究 PsA-I 中,第 3 个月时托法替布 5 mg 每天两次和安慰剂组的 HAQ-DI 应答率(应答定义为较基线的改善 ≥ 0.35)分别为 53% 和 31%。在研究 PsA-II 中观察到相似的应答率。
其他健康相关结果
总体健康状况采用健康调查简表(SF-36)进行评估。在研究 PsA-I 和 PsA-II 中,与安慰剂组相比,接受托法替布 5 mg 每天两次的患者第 3 个月时的身体健康总评(PCS)较基线出现较大的改善,但该结果未见于心理健康总评(MCS)中。接受托法替布 5 mg
每天两次的患者在身体功能、身体疼痛、精力和社会功能维度报告的改善均大于安慰剂组,但在体格健康状况导致的角色局限性、一般健康感知、情绪问题导致的角色局限性或心理健康方面未见一致结果。
放射影像反应
尚未根据 PsA-I 的研究结果确定药物在银屑病关节炎中对放射影像进展抑制的治疗作用。
强直性脊柱炎
进行疗效和安全性评估的托法替布临床开发项目包括一项安慰剂对照确证性试验(研究 AS-I)和一项剂量范围试验(研究 AS-II)。患者存在活动性疾病定义为即使接受了非甾体抗炎药(NSAID)、皮质类固醇或改善病情的抗风湿药(DMARD) 治疗,但 Bath 强直性脊柱炎疾病活动度指数(BASDAI) 和背痛评分(BASDAI 问题 2)依然 ≥ 4 分。
确证性试验(研究 AS-I)
研究 AS-I 是一项在 269 例至少对 2 种 NSAID 疗效不足(临床疗效不足或不耐受)的成人患者中开展的随机、双盲、安慰剂对照、为期 48 周的临床试验。对患者进行随机分组,盲态接受 16 周的托法替布 5 mg 每天两次或安慰剂治疗,然后均额外接受 32 周的托法替布 5 mg 每天两次治疗。主要终点是评估第 16 周达到 ASAS20 应答的患者比例。
从基线至第 16 周,分别约有 7% 和 21% 的患者合并使用甲氨蝶呤或柳氮磺吡啶。22% 的患者对 1 种或 2 种 TNF 阻滞剂疗效不足。
临床应答
第 16 周时,与安慰剂相比,接受托法替布 5 mg 每天两次治疗的患者在 ASAS20、ASAS40 和 ASAS5/6 应答方面获得了较大改善(表 13)。

** p 值< 0.0001。
如表 14 所示,与安慰剂相比,托法替布 5 mg 每天两次治疗组,ASAS 应答分项和其他疾病活动度指标改善较大。

** p<0.0001。
a 在数值型评定量表上进行测评,0 = 无活动性或无疼痛,10 = 活动性非常强或疼痛最严重。
b Bath 强直性脊柱炎功能指数采用数值型评定量表进行测量,0 = 容易,10 = 不可能。
c 炎症是 BASDAI 中 2 项患者报告的强直自我评估平均值。
d Bath 强直性脊柱炎疾病活动度指数总分。
e Bath 强直性脊柱炎计量指数。
f 超敏 C 反应蛋白。
g 强直性脊柱炎疾病活动度评分与 C 反应蛋白。
LSM = 最小二乘均值
在第 2 周首次观察到了 ASAS20 的应答改善。按访视列出的获得 ASAS20 应答的患者百分比见图 3。

将缺失数据的患者视为非应答者。
其他健康相关结果
在第 16 周时,与接受安慰剂治疗的患者相比,接受托法替布 5 mg 每天两次治疗的患者的强直性脊柱炎生活质量(ASQoL)(安慰剂组为-2.0,托法替布组为-4.0)和慢性疾病治疗的功能评估-疲乏(FACITF)(分别为 3.1 和 6.5)较基线获得了较大的改善。与接受安慰剂治疗的患者相比,接受托法替布 5 mg 每天两次治疗的患者在健康调查简表(SF-36)、身体健康总评(PCS)、身体功能、身体角色、身体疼痛、总体健康和社会功能维度较基线改善持续较大,但第 16 周时心理健康总评(MCS) 活力、情感职能和心理健康维度除外。
安全性研究
在 50 岁及以上的具有至少一项心血管风险因素的类风湿关节炎患者中开展了一项随机开放性试验(RA 安全性研究 1),以评价两个托法替布剂量组(5 mg 每天两次[N = 1455]和 10 mg 每天两次[N = 1456])相比 TNF 阻滞剂对照组(N = 1451)的安全性。协同主要终点为裁定 MACE(定义为心源性死亡、非致命性 MI 和非致命性卒中)和裁定恶性肿瘤(不包括非黑色素瘤皮肤癌):根据研究设计,对于各协同主要终点中托法替布合并剂量组与 TNF 阻滞剂对照组的风险比,排除了预定的风险界值 1.8。独立委员会根据预先定义的标准(裁定)对协同主要终点进行了设盲评价。研究采用事件驱动设计,期间持续随访患者,直到主要结果事件累积到足够数量,其他终点包括死亡率、严重感染和血栓栓塞事件。研究随访期的中位数为 4.0 年。
研究人群的平均年龄为 61 岁(范围:50 至 88 岁)。大多数患者为女性(78%)和白种人(77%)。患者确诊类风湿关节炎的平均时长为 10 年,肿胀和触痛关节计数的中位数分别为 11 和 15。心血管风险因素包括吸烟史(当前或既往)(48%)、高血压(66%)、高密度脂蛋白<40 mg/dL(12%)、糖尿病(17%)、早发冠心病家族史(15%)、存在与类风湿关节炎相关的关节外疾病(37%)以及冠状动脉疾病史(11%)。
根据托法替布合并剂量与 TNF 阻滞剂的主要比较结果,研究未达到非劣效性标准,因为 95%CI 上限超出了预定的非劣效性标准 1.8(对于 MACE,95%C 上限为 1.94;对于除 NMSC 之外的恶性肿瘤,95%CI 上限为 2.09)。
表 15 列出了各协同主要终点和其他终点的研究结果。在托法替布的两个剂量组中,死亡、MACE、恶性肿瘤、严重感染和血栓栓塞事件风险均有所升高。

N 表示患者人数;n 表示发生事件的患者人数。
IR 表示每 100 人年(PY)的发生率。
† MI 和卒中包括致命性和非致命性事件。
†† 纳入了当前吸烟患者和既往有吸烟经历的患者的恶性肿瘤(不包括 NMSC)数据和分析。随机分配到托法替布 5 mg、托法替布 10 mg 和 TNF 阻滞剂组的当前吸烟患者和既往有吸烟经历的患者分别为 720 例、704 例和 679 例。
* 托法替布与 TNF 阻滞剂的 HR (95%) CI(单变量 Cox 比例风险模型)。NMSC:非黑色素瘤皮肤癌;MACE:重大心脏不良事件;HR:风险比;DVT:深静脉血栓形成;PE:肺栓塞;VTE:静脉血栓栓塞,为首次发生 VTE,定义为裁定 DVT 和裁定 PE 的复合事件;ATE:动脉血栓栓塞;TE:血栓栓塞,为首次发生 TE,定义为裁定 VTE 和非裁定 ATE 的复合事件。
在托法替布 5 mg 每天两次和托法替布 10 mg 每天两次治疗组患者中,观察到淋巴瘤和肺癌(RA 安全性研究 1 中所有恶性肿瘤事件的子集)发生率高于 TNF 阻滞剂治疗组。在接受托法替布 5 mg 每天两次、托法替布 10 mg 每天两次和 TNF 阻滞剂的患者中,
分别有 4 例、6 例和 1 例报告淋巴瘤(每 100 患者年的发生率[IR]分别为 0.07、0.11 和 0.02)。在接受托法替布 5 mg 每天两次、托法替布 10 mg 每天两次和 TNF 阻滞剂的吸烟患者或既往有吸烟经历患者中,分别有 13 例、15 例和 7 例患者报告肺癌(每 100 患者年的 IR 分别为 0.48、0.59 和 0.27)。
托法替布 10 mg 每天两次不应用于类风湿关节炎、银屑病关节炎或强直性脊柱炎。
毒理研究
遗传毒性
在代谢酶的存在下,托法替布在人体淋巴细胞体外染色体畸变试验结果为阳性,在没有代谢酶存在时结果阴性。托法替布 Ames 试验、CHO-HGPRT 试验、大鼠微核试验和大鼠肝细胞程序外 DNA 合成试验结果均为阴性。
生殖毒性
大鼠给予托法替布约为推荐剂量 5 mg 每天两次 17 倍的暴露水平,或约为 10 mg 每天 2 次剂量的 8.3 倍(以经口给药 10 mg/kg/天剂量的 AUC 计),可见着床后丢失率增加,生育力降低。托法替布在等于推荐剂量 5 mg 每天两次,或约为 10 mg 每天两次剂量的 0.5 倍暴露水平(以经口给药 1 mg/kg/天剂量的 AUC 计),未见对雌性大鼠生育力明显影响。托法替布在约为推荐剂量 5 mg 每天两次的 133 倍暴露水平,或约为 10 mg 每天两次剂量的 67 倍的暴露水平(以经口 100 mg/kg/天剂量的 AUC 计),对雄性生育力、精子活力、精子浓度未见明显影响。
大鼠胚胎-胎仔发育毒性试验中,妊娠大鼠在胎仔器官形成期给予托法替布推荐剂量 5 mg 每天两次的约 146 倍,或约为最大推荐剂量 10 mg 每天两次的 73 倍(以大鼠经口给药 100 mg/kg/天 AUC 计)的药物暴露水平可见致畸作用。致畸作用包括外部畸形和软组织畸形,分别为全身水肿和室间隔膜部缺损,以及骨骼畸形或变异(颈椎弓缺失;股骨、腓骨、肱骨、桡骨、肩胛骨、胫骨和尺骨弯曲;胸骨裂;肋骨缺失;股骨畸形;分叉肋;融合肋骨;融合胸骨节;胸椎半椎体畸形)。此外,着床后丢失增加,包括早期和晚期再吸收,由此导致活胎数减少,平均胎仔体重下降。在推荐剂量 5 mg 每天两次约 58 倍的暴露水平,或最大推荐剂量 10 mg 每天两次约 29 倍的剂量(以妊娠大鼠经口给药 30 mg/kg/天的 AUC 计)在大鼠中未见发育毒性。
兔胚胎-胎仔发育毒性试验中,妊娠兔在胎仔器官形成期给予托法替布约为推荐剂量 5 mg 每天两次的 13 倍,或最大推荐剂量 10 mg 每天两次的 6.3 倍(以兔经口给药 30 mg/kg/天的 AUC 计)的药物暴露水平具有致畸作用,未见母体毒性。致畸作用包括胸腹裂、脐膨出、室间隔膜部缺损、颅/骨骼畸形(小口,小眼球)、中线和尾部缺陷。此外,与晚期再吸收有关的着床后丢失增加。药物暴露水平约为推荐剂量 5 mg 每天两次的 3 倍,或约为最大推荐剂量 10 mg 每天两次的 1.5 倍(以妊娠兔经口给药 10 mg/kg/天的 AUC 计)时,未见发育毒性。
围产期毒性试验中,大鼠在妊娠期第 6 天至哺乳期第 20 天给予托法替布,在约为推荐剂量 5 mg 每天两次的 73 倍暴露水平,或约为最大推荐剂量 10 mg 每天两次的 36 倍(以大鼠经口给药剂量为 50 mg/kg/天的 AUC 计),窝仔数减少、出生后生存率降低以及幼仔体重下降。在约为推荐剂量 5 mg 每天两次的 17 倍,或约为最大推荐剂量 10 mg 每天两次的 8.3 倍(以大鼠经口给药剂量为 10 mg/kg/天的 AUC 计)的暴露水平,对 F1 代大鼠行为和学习、性成熟以及交配并产生活 F2 代胎仔能力未见明显影响。
致癌性
RasH2 转基因小鼠 6 个月致癌性试验中,托法替布约为推荐剂量 5 mg 每天两次的 34 倍或约为最大推荐剂量 10 mg 每天 2 次的 17 倍(以经口给药 200 mg/kg/天的剂量的 AUC 计)水平时,未见致癌性。
SD 大鼠经口给药 2 年致癌性试验中,托法替布在大于或等于 30 mg/kg/天的剂量下(暴露水平以推荐剂量 5 mg 每天两次的 AUC 计约 42 倍,或以 10 mg 每天两次的 AUC 计约 21 倍),可见良性睾丸间质细胞瘤、冬眠瘤(褐色脂肪组织恶性肿瘤)和良性胸腺瘤。良性睾丸间质细胞瘤与人体的相关性风险尚未明确。
猴 39 周重复给药毒性试验中,托法替布暴露水平约为推荐剂量 5 mg 每天两次的 6 倍时,或约为剂量 10 mg 每天两次的 3 倍(以经口给药 5 mg/kg 剂量每天两次的 AUC 计)可见淋巴瘤。托法替布暴露水平为推荐剂量 5 mg 每天两次的 1 倍,或约为剂量 10 mg 每天两次的 0.5 倍(以经口给药 1 mg/kg 每天两次的 AUC 计)未见淋巴瘤。
上市许可持有人
Pfizer Europe MA EEIG
生产企业
Pfizer Manufacturing Deutschland GmbH
赣公网安备36020002000448号