Cefalexin Tablets
请仔细阅读说明书并在医生的指导下使用
核准日期:2007年1月9日|修改日期:2022年5月31日
对头孢菌素过敏者及有青霉素过敏性休克或即刻反应史者禁用
成份
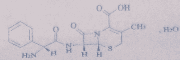
本品主要成份为头孢氨苄。
化学名称:(6R,7R)-3-甲基-7-[(R)-2-氨基-2-苯基乙酰氨基]-8-氧代-5-硫杂-1-氮杂双环[4.2.0]辛-2-烯-2-甲酸一水合物。
化学结构式:

分子式:C16H17N3O4S·H2O
分子量:365.41
规格
按 C16H17N3O4S 计 0.25 g
适应症
适用于敏感菌所致的急性扁桃体炎、咽峡炎、鼻窦炎、支气管炎、肺炎等呼吸道感染、中耳炎、尿路感染及皮肤软组织感染等。本品为口服制剂,不宜用于重症感染。
用法用量
成人剂量:口服。一次 250-500 mg,一日 4 次,最高剂量一日 4 g。肾功能减退的患者,应根据肾功能减退的程度,减量用药。单纯性膀胱炎、皮肤软组织感染及链球菌咽峡炎患者每 12 小时 500 mg。
儿童剂量:口服。每日按体重 25-50 mg/kg,一日 4 次。皮肤软组织感染及链球菌咽峡炎患者每 12 小时口服 12.5-50 mg/kg。
禁忌
对头孢菌素过敏者及有青霉素过敏性休克或即刻反应史者禁用。
注意事项
1. 超敏反应
使用头孢氨苄有过敏反应的报道,包括皮疹、荨麻疹、血管性水肿、过敏性休克、多形性红斑、Stevens-Johnson 综合征或中毒性表皮坏死松解症。在使用本品治疗之前,应询问患者是否存在对头孢氨苄、其他头孢菌素类,青霉素类成其它药物的过敏史。高达 10% 青霉素过敏患者会产生对β-内酰胺抗菌药物的交叉超敏反应。如果出现对本品的过敏反应,应立即停止使用并采取适当治疗。
2. 艰难梭菌相关性腹泻
几乎所有抗菌药物(包括头孢氨苄)的应用都有艰难梭状芽胞杆菌相关性腹泻(CDAD)的报告,其严重程度可表现为轻度腹泻至致死性结肠炎。抗菌药物治疗可引起结肠内正常菌群的改变,导致艰难梭状芽胞杆菌(C.difficile)过度繁殖。
艰难梭状芽胞杆菌产生的毒素 A 和毒素 B 与 CDAD 的发病有关。产生超毒素(hypertoxin)的艰难梭状芽胞杆菌可导致发病率和死亡率升高,这些感染可能难以用抗菌药物治疗,因此可能需要进行结肠切除术。对于所有使用抗生素后出现腹泻的患者,必须考虑到 CDAD 的可能。由于曾经有给予抗菌药物治疗超过 2 个月后发生 CDAD 的报道,因此需仔细询问病史。
如果怀疑或确诊 CDAD,需考虑停用并非针对艰难梭状芽胞杆菌的抗生素。必须根据临床指征给予合适的液体和电解质治疗、补充蛋白质、给予对艰难梭状芽胞杆菌有效的抗生素和手术评估。
3. 直接 Coombs,试验阳性反应
使用头孢菌素类抗生素(包括头孢氨苄)均有出现直接 Coombs,试验阳性反应的报道。据报道,使用头孢氨苄可诱导产生急性血管内溶血。若在使用本品治疗期间或之后发生贫血,需诊断是否存在药物诱导的溶血性贫血,停用本品并给予适当治疗。
4. 诱发癫痫
多种头孢菌素类抗生素会诱发癫痫,尤其是肾功能损害患者未减少服药剂量时,如果出现癫痫症状,立即停止使用本品。确诊后可给予抗惊厥治疗。
5. 凝血酶原时间延长
头孢菌素可能与凝血酶原时间延长有关。肾功能或肝功能损害患者、营养状况不佳的患者、接受长期抗菌药物治疗的患者和接受抗凝治疗的患者存在风险。需对存在风险的患者进行凝血酶原时间监测,并按指征进行治疗。
6. 产生耐药菌
在未确诊或并非高度怀疑为细菌感染,使用本品可能不会为患者提供益处,还会增加耐药菌产生的风险。
长期使用本品可能导致非敏感微生物的过度生长。对患者进行仔细观察至关重要。如果在治疗期间发生重复感染,应采取适当的措施。
7. 当每天口服剂量超过 4 g(无水头孢氨苄)时,应考虑改用注射用头孢菌素类药物。
8. 本品慎用于肾功能受损患者(肌酐清除率<30 mL/min,有或无透析)。使用时,应进行仔细的临床观察和肾功能监测,因为这类患者的安全剂量可能低于通常推荐剂量,应用本品须减量。
9. 对诊断的干扰:应用本品时可出现尿糖假阳性反应(硫酸铜法)。
药理作用
作用机制:头孢氨苄是一种通过抑制细菌细胞壁合成而起作用的杀菌药。
耐药性:耐甲氧西林的葡萄球菌和大多数肠球菌分离株对头孢氨苄具有耐药性。头孢氨苄对大多数肠杆菌属、摩氏摩根菌和普通变形杆菌的分离株无活性。头孢氨苄对假单胞菌属或醋酸钙不动杆菌无活性。青霉素耐药肺炎链球菌通常对β-内酰胺抗菌药物具有交叉耐药性。
抗菌活性:在体外试验及临床感染中,头孢氨苄对以下细菌的大多数菌株均显示出抗菌活性(参见【适应症】部分)。
革兰阳性菌:
金黄色葡萄球菌(仅对甲氧西林敏感的分离株) 肺炎链球菌(青霉素敏感菌株)
革兰阴性菌:
大肠埃希菌 流感嗜血杆菌 肺炎克雷伯菌 粘膜炎莫拉菌 奇异变形杆菌
药代动力学
吸收:
头孢氨苄耐酸,可空腹或餐后服用。在服用 250 mg、500 mg 和 1 g 头孢氨苄后,约 1 小时达到血药浓度峰值,平均值分别约为 9、18 和 32 μg/mL。给药后 6 小时仍可检测到血药浓度。
分布:
头孢氨苄的血浆蛋白结合率为 10%-15%。本品可透过胎盘进入胎儿血循环、产妇羊水,乳妇口服头孢氨苄后药物可经乳汁分泌。
排泄:
头孢氨苄通过肾小球滤过和肾小管分泌进人尿中进行排泄。
研究显示超过 90% 的药物在 8 小时内以原形形式经尿液排泄。服用 250 mg、500 mg 和 1 g 头孢氨苄后,尿药浓度峰值分别约为 1000、2200 和 5000 μg/mL。
毒理研究
遗传毒性:
尚未开展试验确定头孢氨苄的潜在致突变性。
生殖毒性:
经口给药未见对雄性和雌性大鼠生育力和繁殖能力的影响(以体表面积计,剂量高达人用剂量的 1.5 倍)。
妊娠小鼠和大鼠在器官发生期间分别经口给予头孢氨苄剂量为 250 或 500 mg/kg/天(以体表面积,约为 MRHD 的 0.6 和 1.2 倍),未见对胚胎发育的不良影响。
在围产期毒性研究中,从妊娠第 15 天至离乳(出生后 21 天)经口给予妊娠大鼠头孢氨苄剂量为 250 或 500 mg/kg/天,未见对分娩、窝产仔数或子代生长的不良影响。
致癌性:
尚未进行动物终身研究以评价头孢氨苄的潜在致癌性。
上市许可持有人
生产企业
山东鲁抗医药股份有限公司
赣公网安备36020002000448号