Dexamethasone Sodium Phosphate Injection
请仔细阅读说明书并在医生的指导下使用
核准日期:2007年5月9日|修改日期:2020年12月30日
成份
本品主要成份为:地塞米松磷酸钠。
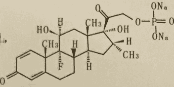
其化学名称为:16α-甲基-11β,17α,21-三羟基-9α-氟孕甾-1,4-二烯-3,20-二酮-21-磷酸酯二钠盐。
化学结构式:

分子式:C22H28FNa2O8P
分子量:516.41
辅料为:亚硫酸氢钠、丙二醇、磷酸氢二钠十二水合物、注射用水。
规格
1 mL:2 mg
适应症
主要用于过敏性与自身免疫性炎症性疾病。多用于结缔组织病、活动性风湿病、类风湿性关节炎 、红斑狼疮、严重支气管哮喘、严重皮炎、溃疡性结肠炎 、急性白血病等,也用于某些严重感染及中毒、恶性淋巴瘤的综合治疗。
用法用量
一般剂量静脉注射每次 2-20 mg(1-10 支);静脉滴注时,应以 5% 葡萄糖注射液稀释,可 2-6 小时重复给药至病情稳定,但大剂量连续给药一般不超过 72 小时。还可用于缓解恶性肿瘤所致的脑水肿,首剂静脉推注 10 mg(5 支),随后每 6 小时肌内注射 4 mg(2 支),一般 12-24 小时患者可有所好转,2-4 天后逐渐减量,5-7 天停药。对不宜手术的脑肿瘤,首剂可静脉推注 50 mg(25 支),以后每 2 小时重复给予 8 mg(4 支),数天后再减至每天 2 mg(1 支),分 2-3 次静脉给予。用于鞘内注射每次 5 mg(2.5 支),间隔 1-3 周注射一次;关节腔内注射一般每次 0.8-4 mg(0.4-2 支),按关节腔大小而定。
禁忌
1. 对本品过敏者禁用,对肾上腺皮质激素类药物有过敏史的患者慎用。
2. 对辅料中含有亚硫酸盐的品种,增加“本品辅料中含有亚硫酸盐,对亚硫酸盐过敏者禁用。”
3. 以下疾病患者一般情况下不宜使用,在特殊情况下权衡利弊使用,且应注意病情恶化的可能:高血压、血栓症、心肌梗塞、胃与十二指肠溃疡、内脏手术、精神病、电解质代谢异常、青光眼。
注意事项
1. 糖皮质激素可以诱发或加重感染,细菌性、真菌性、病毒性或寄生虫(如阿米巴病、线虫)等感染患者应慎用,如需使用必须给予适当的抗感染治疗。
2. 溃疡性结肠炎、憩室炎、肠吻合术后、肝硬化、肾功能不良、癫痫、偏头痛、重症肌无力、糖尿病、骨质疏松症、甲状腺功能低下患者慎用。
3. 长期应用本品,停药前应逐渐减量。
4. 运动员慎用。
5. 对于眼部单纯疱疹的患者,由于可能发生角膜穿孔,因而建议慎用糖皮质激素类药物。
6. 长期使用糖皮质激素可产生后囊下白内障和可能损伤视神经的青光眼,并可增加真菌和病毒继发性眼部感染机会。
7. 关节内注射糖皮质激素,会增加关节感染的风险。
8. 国外有报告指出,严重神经系统损害事件(一些导致死亡)与糖皮质激素硬膜外注射有关。不良事件包括但不限于脊髓梗死,截瘫,四肢麻痹,皮质盲和中风。
9. 在使用本品时感染水痘或麻疹,可能加重病情,严重者会导致生命危险。在使用本品过程中,应充分予以观察和注意。
10. 长期、大量使用本品,或长期用药后停药 6 个月以内的患者,由于免疫力低下,不宜接种减毒活疫苗(如脊髓灰质炎减毒活疫苗糖丸等)。
11. 潜伏性结核或陈旧性结核的患者,在长期使用糖皮质激素治疗期间,应密切观察病情,必要时接受预防治疗。
12. 乙肝病毒携带者使用肾上腺皮质激素时,可能会使乙肝病毒增殖,引发肝炎。在本制剂给药期间及给药结束后,应当继续进行肝功能检查及肝炎病毒标志物的监测。
药理作用
肾上腺皮质激素类药。具有抗炎、抗过敏、抗风湿、免疫抑制作用,其作用机理为:
1. 抗炎作用:本品减轻和防止组织对炎症的反应,从而减轻炎症的表现。能够抑制炎症细胞,包括巨噬细胞和白细胞在炎症部位的集聚,并抑制吞噬作用、溶酶体酶的释放以及炎症化学中介物的合成和释放。
2. 免疫抑制作用:包括防止或抑制细胞介导的免疫反应,延迟性的过敏反应,减少 T 淋巴细胞、单核细胞、噬酸性细胞的数目,降低免疫球蛋白与细胞表面受体的结合能力,并抑制白介素的合成与释放,从而降低 T 淋巴细胞向淋巴母细胞转化,并减轻原发免疫反应的扩展。本品还降低免疫复核物通过基底膜,并能减少补体成分及免疫球蛋白的浓度。
药代动力学
肌注本品于 1 小时达血药峰浓度。本品血浆蛋白结合率较其他皮质激素类药物低。
上市许可持有人
生产企业
遂成药业股份有限公司