Amikacin Sulfate Injection
请仔细阅读说明书并在医生的指导下使用
成份
化学名:
O-3-氨基-3-脱氧-α-D-葡吡喃糖基-(1→6)-O-[(6-氨基-6-脱氧-α-D-葡吡喃糖基-(1→4))-N-(4-氨基-2-羟基-1-氧丁基)-2-脱氧-D-链霉胺硫酸盐
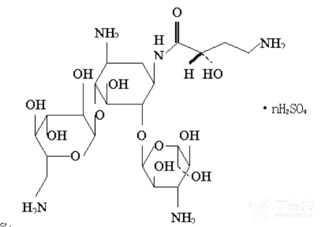
结构式及分子式、分子量:

分子式:C22H43N5O13·nH2SO4(n = 1.8)
规格
2 ml:0.2 g(20 万单位)
适应症
本品适用于铜绿假单胞…登录
用法用量
肌肉注射或静脉滴注给…登录
禁忌
对阿米卡星或其他氨基糖苷类有过敏史或严重毒性反应者禁用。
注意事项
1.由于非肠道给予的…登录
药理作用
药理作用
本品为半合成的氨基糖苷类抗生素,此类药物的作用机理主要是通过作用于细菌核糖体的 30 S 亚单位,抑制细菌蛋白质合成的过程产生抗菌作用。
体外试验和临床感染应用中均表明本品对以下大多数微生物有活性:
革兰氏阴性菌——体外研究表明,阿米卡星对假单胞菌属、大肠杆菌、变形杆菌(吲哚阴性和阳性)、普罗威登斯菌属、克雷伯菌属、肠杆菌属、沙雷菌属、不动杆菌属(Mima—Herellea)以及柠檬杆菌属有较好活性。其抗菌活性较庆大霉素略低。
当上述种属的微生物对其它氨基糖苷类药物(包括庆大霉素、妥布霉素和卡那霉素等)产生耐受性时,对于阿米卡星仍然很敏感。
革兰氏阳性菌——体外研究发现阿米卡星对产青霉素酶和非产青霉素酶的葡萄球菌属,包括对甲氧西林耐药的菌株都有活性。然而,氨基糖苷类药物一般对其它革兰氏阳性菌活性较低,即幽门链球菌属、肠球菌属以及肺炎链球菌属。本品对厌氧菌无效。
体外试验显示,阿米卡星和β内酰胺类抗生素合用可协同拮抗临床上许多革兰氏阴性菌。
阿米卡星最突出的优点是对许多肠道革兰阴性杆菌所产生的氨基糖苷类钝化酶稳定,不会为此类酶钝化而失去抗菌活性。在目前所分离到的 12 种钝化酶中,本品仅可为 AAC(6′)所钝化,此外 AAD(4′)和 APH(3′)-Ⅲ偶可导致细菌对本品中度耐药。临床分离的肠杆菌科细菌中对庆大霉素、妥布霉素和奈替米星等氨基糖苷类耐药者约 60%~70%对本品仍敏感。
近年来革兰阴性杆菌中对阿米卡星耐药菌株亦有增多。
药代动力学
肌内注射后阿米卡星可迅速被吸收。在正常的志愿者中,一次肌肉给予 250 mg(3.7 mg/kg),375 mg(5 mg/kg)、500 mg(7.5 mg/kg)1 h 后其平均血药浓度的峰值分别为 12、16、21 ug/ml。10 h 后,血液中的浓度分别为 0.3、1.2、2.1 ug/ml。正常成年人一次静滴 500 mg(7.5 mg/kg)(超过 30 min)在静滴的最后其平均血药浓度为 38 μg/ml,在静滴后 30 min,1 h,10 h 的浓度分别为 24、18、0.75 ug/ml。
本品主要分布于细胞外液,部分药物可分布到各种组织,并可在肾脏皮质细胞和内耳液中积蓄,尿中浓度高;但在心脏心耳组织、心包液、肌肉、脂肪和间质液内的浓度低。支气管分泌物、胆汁及房水中浓度低。蛋白结合率低。可透过胎盘进入胎儿组织,胎儿的血液中的浓度是母亲血液浓度峰值的 16%,并且药物在母亲和胎儿中的半衰期分别为 2 和 3.7 h。脑脊液中浓度低,当感染了脑膜炎后可达到 50%。在体内不代谢。成人血消除半衰期(t1/2β)为 2~2.5 小时。主要经肾小管分泌和肾小球滤过排出,给药后 24 小时内排出 90%以上。肾功能损害和肾小球滤过功能损害的病人其药物的排泄减慢(大大增加了其半衰期)。血液透析与腹膜透析可自血中清除相当量的药物。
毒理研究
毒理研究
遗传毒性:未进行本品的致突变性试验。
生殖毒性:以成人用药剂量 4 倍的阿米卡星皮下给予大鼠,对雄性和雌性大鼠的生育力无明显影响。目前尚不清楚阿米卡星是否从人乳中排泄。由于许多药物从人乳中排泄,并且有可能会对哺乳期婴儿产生严重的副作用,因此建议在权衡药物对母亲和婴儿的利弊后,决定是中断哺乳还是停止药物的使用。阿米卡星对大鼠和小鼠的生殖行为的影响的研究显示该药物对生育功能和胎儿都没有损害作用。对于孕妇没有很好的可控性研究,但调查研究表明该药物对于胎儿没有明显的副作用。
致癌性:尚未对动物进行长期研究以判断本品的致癌性。
生产企业
河南省神农药业有限公司
赣公网安备36020002000448号