Ribavirin Injection
请仔细阅读说明书并在医生的指导下使用
核准日期:2007年4月28日|修改日期:2015年12月1日
本品有较强的致畸作用,家兔日剂量 1 mg/kg 即引起胚胎损害,故禁用于孕妇和有可能怀孕的妇女(本品在体内消除很慢,停药后 4 周尚不能完全自体内清除 ) 。
成份
本品主要成份为:利巴韦林。
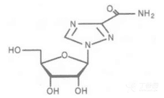
化学名称:1-β-D-呋喃核糖基-1 H-1,2,4-三氮唑-3-羧酰胺。
化学结构式:

分子式:C8H12N4O5
分子量:244.21
本品辅料为:磷酸氢二钠、枸橼酸、注射用水。
规格
1 ml:100mg
适应症
抗病毒药。用于呼吸道…登录
用法用量
用氯化钠注射液或 5…登录
禁忌
对本品过敏者、孕妇禁用。
注意事项
有严重贫血、肝功能异…登录
药理作用
广谱抗病毒药。体外具有抑制呼吸道合胞病毒、流感病毒、甲肝病毒、腺病毒等多种病毒生长的作用,其机制不全清楚。本品并不改变病毒吸附、侵入和脱壳,也不诱导干扰素的产生。
药物进入被病毒感染的细胞后迅速磷酸化,其产物作为病毒合成酶的竞争性抑制剂,抑制肌苷单磷酸脱氢酶、流感病毒 RNA 多聚酶和 mRNA 鸟苷转移酶,从而引起细胞内鸟苷三磷酸的减少,损害病毒 RNA 和蛋白合成,使病毒的复制与传播受抑。对呼吸道合胞病毒也可能具免疫作用及中和抗体作用。
药代动力学
静脉滴注本品 0.8 g,5 分钟后血浆浓度为 17.8±5.5μM,30 分钟后血浆浓度为 42.3±10.4μM。进入体内迅速分布到身体各部分,并可通过血-脑脊液屏障。药物在呼吸道分泌物中的浓度大多高于血药浓度。药物能进入红细胞内,且蓄积量大。
长期用药后脑脊液内药物浓度可达同时期血药浓度的 67%。本品可透过胎盘,也能进入乳汁。与血浆蛋白几乎不结合。在肝内代谢。血浆药物消除半衰期(t1/2β)约为 0.5~2 小时。
主要经肾排泄,48 小时内从尿液中可检出 16.7%±10.3% 的药物以原形排出,6.2%±1.7% 的药物以代谢物排泄。药物在红细胞内可蓄积数周。
毒理研究
动物实验发现本品可诱发乳房、胰腺、垂体和肾上腺良性肿瘤,但对人体的致癌性并未肯定。药物对仓鼠等动物可引起头颅、腭、眼、颌、骨骼和胃肠道的畸形,子代成活减少,但灵长类动物实验并未发现药物对胎仔的影响。
给予小鼠、大鼠和猴口服利巴韦林,剂量分别为 30、36 和 120 mg/kg 或持续 4 周以上(相当于人用剂量:给予体重为 5 kg 的儿童 4.8、12.3 和 111.4 mg/kg,或者体重为 60 kg 成人 2.5、5.1 和 40 mg/kg),出现心脏损伤。
上市许可持有人
生产企业
郑州卓峰制药有限公司