Macmiror Complex (Nifuratel and Nystatin Vaginal Suppositories)
请仔细阅读说明书并在医生的指导下使用
核准日期:2018年7月16日
成份
本品主要成份及化学名称:硝呋太尔、制霉菌素
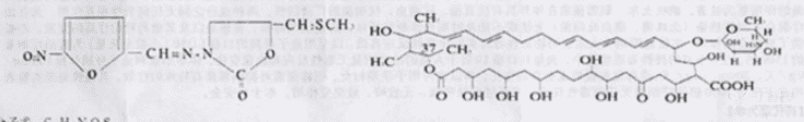
5—((甲硫基)甲基」—3—t(5—硝基糖叉)氨基)—2—恶唑烷酮;
19—(3—氨基—3,6—二去氧—β—D—吡喃甘露糖基氧)—16—羧基—3,5,7,10,11,15,17,35—八羟基—34—甲基—13—氧—三十八烷—20,22,24,26,30,32—乙烯-37-内酯)。
其结构式:

分子式:C10H11N305S
C47H75NO17
分子量:285.29(硝呋太尔)926.11(制霉菌素)
规格
每粒含硝呋太尔 0.5 mg 和制霉菌素 200,000IU。
适应症
治疗由细菌、滴虫、念…登录
用法用量
阴道感染:于每晚休息…登录
禁忌
对硝呋太尔过敏者禁用!
注意事项
为获得良好疗效,请尽…登录
药代动力学
体外试验表明本品不通过皮肤和粘膜吸收。
毒理研究
硝呋太尔具有抗原虫、抗菌和抑制真菌生长繁殖的作用。制霉菌素则是熟知的具有杀灭霉菌活性的抗菌素,尤其是其对念珠菌属真菌的作用更为显著。硝呋太尔-制霉菌素在体外具有抗真菌、抗滴虫,抗细菌的广谱活性。两种成分之间无任何负性相互作用,为在治疗混合性阴道感染(念珠菌、滴虫菌及细菌)无法或不能及时明确诊断原体,防止出现霉菌二重感染以及其他药物治疗后的复发,均提供了更完全的作用,实验证明硝呋太尔在动物急性毒理实验中毒性反应甚微,以至用兔子得到的口服 LD50( 半数致死量 )为其治疗剂量的 1500 倍。在 6 个月的慢性毒理实验中,狗每日服用 10 倍于人类的治疗剂量无毒性反应和血相变化。怀孕小鼠和兔子分别口服 100 mg/kg/天,200 mg/kg/天;没有发生致畸或生育的变化。所以亦可用于孕期妇女。制霉菌素对抑制霉菌有其特殊的疗效,其慢性毒理实验表明皮下注射 3000 倍治疗剂量无任何剂量无任何毒性反应,不通过皮肤吸收,无致畸,致突变作用。亦十分安全。
上市许可持有人
POLICHEM S.R.L.
生产企业
POLICHEM S.R.L
赣公网安备36020002000448号