Vitamin B12 Injection
请仔细阅读说明书并在医生的指导下使用
核准日期:2007年5月9日|修改日期:2020年12月30日
成份
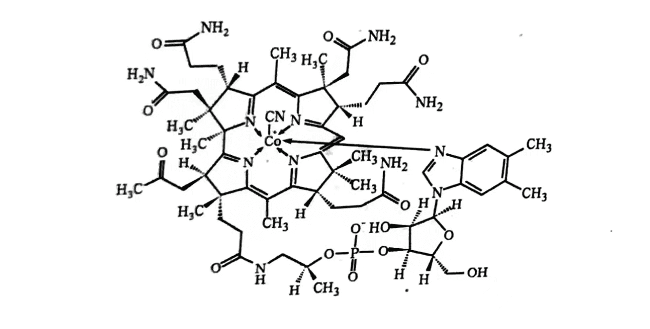
本品主要成份为:维生素 B12。化学名称为:Coα-[α-(5,6-二甲基苯并咪唑基)]-Coβ氰钴酰胺。
化学结构式:

分子式:C63H88CoN14O14P
分子量:1355.38
辅料为:氯化钠、注射用水。
规格
1 mL:0.5 mg
适应症
主要用于因内因子缺乏所致的巨幼细胞性贫血,也可用于亚急性联合变性神经系统病变,如神经炎的辅助治疗。
用法用量
肌注,成人,一日 0.025-0.1 mg(0.05-0.2 支)或隔日 0.05-0.2 mg(0.1-0.4 支),共 2 周。用于神经炎时,用量可酌增。本品也可用于穴位封闭。
禁忌
尚不明确。
注意事项
- 可致过敏反应,甚至过敏性休克,不宜滥用。
- 有条件时,用药过程中应监测血中维生素 B12浓度。
- 痛风患者使用本品可能发生高尿酸血症。
- 治疗巨细胞贫血,在起始 48 小时,宜查血钾,以防止低钾血症。
药理作用
本品为抗贫血药。维生素 B12参与体内甲基转换及叶酸代谢,促进 5-甲基四氢叶酸转变为四氢叶酸。缺乏时,导致 DNA 合成障碍,影响红细胞的成熟。本品还促使甲基丙二酸转变为琥珀酸,参与三羧酸循环。此作用关系到神经髓鞘脂类的合成及维持有髓神经纤维功能完整,维生素 B12缺乏症的神经损害可能与此有关。
药代动力学
肌注后吸收迅速而完全,约 1 小时血药浓度达峰值;体内分布较广,但主要贮存于肝脏,成人总贮量为 4-5 mg;大部分在 8 小时经肾脏排泄,剂量愈大,排泄愈多。
生产企业
遂成药业股份有限公司
© 版权声明
特别提醒: 内容为用户自行发布,如有侵权,请联系我们管理员删除,邮箱:mail@xieniao.com ,在收到您的邮件后我们会在3个工作日内处理。
相关文章
暂无评论...