背景:
课题需要,获得下图文献类型的溶剂化焓变和熵变

附上文献【J. Phys. Chem. B 2014, 118, 10, 2719–2725】中的计算方法:
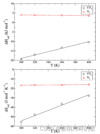
浅放一下最后的作图效果:

步骤:
1. 先(根据上面文献中第一个公式)计算获得各个温度(单位为K)下对应的Kh(单位为atm)
根据模拟设置的偏压,求出ln(Kh/P0)(无量纲)

【这里P0是1atm】
2. 根据范特霍夫方程,推导出溶剂化焓变和Kh的关系(此步只需有基本化学常识,对数学要求一般,高数能及格都可以推导得出,略)
3. 作T-ln(Kh/P0)的散点图,并进行拟合(需要在origin里自定义公式:ln(Kh/P0)=A+B/T+C/T^2)【关键是求出A, B, C的值】

关于拟合:
origin菜单:分析-拟合-非线性曲线拟合-打开对话框

第一次需要自行设置公式(这个好像公式库里没有,感兴趣的话可以自己找找),在“1”处所指的地方自行设置,方法参考:南开大学-origin自定义非线性公式拟合设置,之后第二次及以后可以在“2”处所指的类别-函数里找到自己自定义的函数,比较方便

4. 根据第2步中推导出的公式(▲Hsol=BR+2CR/T,R=8.314J/mol·K)【这里我对偏导后的公式做了简化】,代入B, C求得不同T下的▲Hsol(J/mol),▲Ssol直接用上面文献中第三个公式即可
5. 汇总处理后的数据并作图:(这里是溶剂化焓变随温度变化情况)

提示:全程推导需要注意单位统一
© 版权声明
特别提醒: 内容为用户自行发布,如有侵权,请联系我们管理员删除,邮箱:mail@xieniao.com ,在收到您的邮件后我们会在3个工作日内处理。
相关文章
暂无评论...